|
Gene Information
|
Gene Name
|
ACSL4 |
|
Gene ID
|
2182
|
|
Gene Full Name
|
acyl-CoA synthetase long chain family member 4 |
|
Gene Alias
|
ACS4; FACL4; LACS4; MRX63; MRX68 |
|
Transcripts
|
ENSG00000068366
|
|
Virus
|
HTLV1 |
|
Gene Type
|
protein coding |
|
HPA Location Info
|
Golgi apparatus;Mitochondria;
|
|
Membrane Info
|
Predicted membrane proteins |
|
HPA Protein Class Info
|
Disease related genes, Enzymes, Plasma proteins, Potential drug targets, Predicted intracellular proteins, Predicted membrane proteins |
|
Uniport_ID
|
O60488
|
|
HGNC ID
|
HGNC:3571
|
|
VEGA ID
|
OTTHUMG00000022190
|
|
OMIM ID
|
300157 |
|
String ID
|
9606.ENSP00000339787
|
|
Drugbank ID
|
BE0000996
|
|
PharmGKB ID
|
PA27968
|
Target gene [ACSL4] related to VISs
| DVID |
Chromosome |
HM |
TFBS |
CA |
Sum of Overlapped Records |
Detail |
| 6004386 |
chrX |
109 |
5 |
4 |
118 |
View |
Relationship between gene expression and immune infiltrating cell level
| Data ID |
Disease |
Sample number |
Sample type |
|
GSE55851 (GEO) |
Adult T-cell leukemia |
21 |
Normal (3), Asymptomatic carriers (HTLV1+)(6), Adult T-cell Leukemia-lymphoma (HTLV1+)(12) |
|
GSE29312 (GEO) |
HTLV-1 associated myelopathy |
39 |
Normal (9), Asymptomatic carriers (HTLV1+)(20), HTLV-1-associated myelopathy (HTLV1+)(10) |
|
GSE29332 (GEO) |
HTLV-1 associated myelopathy |
35 |
Normal (8), Asymptomatic carriers (HTLV1+)(17), HTLV-1-associated myelopathy (HTLV1+)(10) |
> Dataset: GSE55851
|
|
HeatMap of cell type fractions in all samples
|
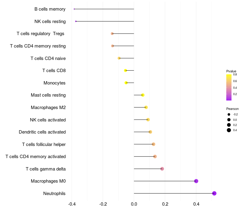
Lollipop of ACSL4 expression and immune infiltrating cell level correlation result in HTLV1+ samples
|
ACSL4 expression: Low -> High
|
|
|
> Dataset: GSE29312
|
|
HeatMap of cell type fractions in all samples
|
Lollipop of ACSL4 expression and immune infiltrating cell level correlation result in HTLV1+ samples
|
ACSL4 expression: Low -> High
|
|
|
> Dataset: GSE29332
|
|
HeatMap of cell type fractions in all samples
|
Lollipop of ACSL4 expression and immune infiltrating cell level correlation result in HTLV1+ samples
|
ACSL4 expression: Low -> High
|
|
|
|
|