EBV Target gene Detail Information

> ADGRF5 Gene Search Result


Gene Information
Gene Name ADGRF5
Gene ID 221395
Gene Full Name adhesion G protein-coupled receptor F5
Gene Alias GPR116; KPG_001
Transcripts ENSG00000069122
Virus EBV
Gene Type protein coding
HPA Location Info
Membrane Info Predicted membrane proteins
HPA Protein Class Info G-protein coupled receptors, Plasma proteins, Predicted membrane proteins
Uniport_ID Q8IZF2
HGNC ID HGNC:19030
VEGA ID OTTHUMG00000014793
PharmGKB ID PA134886165
Target gene [ADGRF5] related to VISs
DVID Chromosome HM TFBS CA Sum of Overlapped Records Detail
3000542 chr6 3 9 12 View

Relationship between gene expression and immune infiltrating cell level
Data ID Disease Sample number Sample type
GSE100458 (GEO) Burkitt lymphoma 14 Burkitt lyphoma cell line Akata(EBV+)(2),Burkitt lyphoma cell line Akata(EBV-)(2),Burkitt lyphoma cell line Awia(EBV+)(2),Burkitt lyphoma cell line Awia(EBV-)(2),Burkitt lyphoma cell line Eli(EBV+)(1),Burkitt lyphoma cell line Eli(EBV-)(1),Burkitt lyphoma cell line Mutu(EBV+)(2),Burkitt lyphoma cell line Mutu(EBV-)(2)

> Dataset: GSE100458

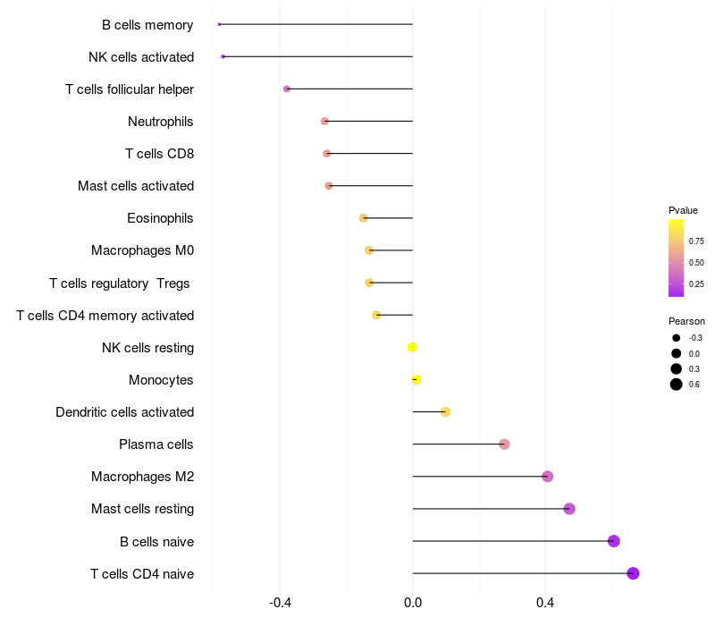
HeatMap of cell type fractions in all samples Lollipop of ADGRF5 expression and immune infiltrating cell level correlation result in EBV+ samples
ADGRF5 expression: Low -> High

Contents
Description

Gene Information Note

  • Integration Table: if previous studies reported that target gene was altered by virus integration events, the overlap between VISs in this literature and Cistrome factors was listed in the "Target gene [gene] related to VIS" section

Immune Analysis Plot Note

  • Left: Heatmap of target gene expression and the level of various types of immune cells (cell type fractions) in all samples based on CIBERSORT method.
  • Right: Correlation of target gene expression and the level of various types of immune cells in virus positive samples (Pearson Correlation Coefficient).