HPV Target gene Detail Information

> AMY1C Gene Search Result


Gene Information
Gene Name AMY1C
Gene ID 278
Gene Full Name amylase, alpha 1C (salivary)
Gene Alias AMY1
Transcripts ENSG00000187733
Virus HPV
Gene Type protein coding
HPA Location Info
HPA Protein Class Info Enzymes, Predicted secreted proteins
Uniport_ID P04745
HGNC ID HGNC:476
VEGA ID OTTHUMG00000011045
OMIM ID 104702
String ID 9606.ENSP00000359096
PharmGKB ID PA24783
Target gene [AMY1C] related to VISs
DVID Chromosome HM TFBS CA Sum of Overlapped Records Detail
5403402 chr1 1 5 6 View

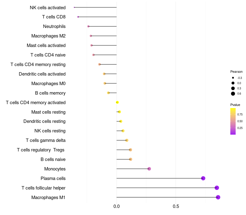
Relationship between gene expression and immune infiltrating cell level
Data ID Disease Sample number Sample type
GSE65858 (GEO) Head and neck squamous cell carcinoma 270 Head and neck squamous cell carcinoma (EBV+)(73), Head and neck squamous cell carcinoma (EBV-)(197)
GSE40774 (GEO) Head and neck squamous cell carcinoma 134 Head and neck Squamous cell carcinomas GLOTTIC LARYNX (EBV-)(2), Head and neck Squamous cell carcinomas HYPOPHARYNX (EBV-)(9), Head and neck Squamous cell carcinomas ORAL CAVITY (EBV-)(23), Head and neck Squamous cell carcinomas ORAL CAVITY (EBV+)(2), Head and neck Squamous cell carcinomas OROPHARYNX (EBV-)(22), Head and neck Squamous cell carcinomas OROPHARYNX (EBV+)(54), Head and neck Squamous cell carcinomas OTHER (EBV+)(1), Head and neck Squamous cell carcinomas SUBGLOTTIC LARYNX (EBV-)(1), Head and neck Squamous cell carcinomas SUPRAGLOTTIC (EBV-)(19), Squamous cell carcinomas SUPRAGLOTTIC (EBV+)(1)
GSE55546 (GEO) Oropharyngeal squamous cell carcinoma 16 Oropharyngeal cancers (HPV+)(12), Normal (4)
GSE55544 (GEO) Oropharyngeal squamous cell carcinoma 23 Oropharyngeal cancers HPV Active (11), Oropharyngeal cancers HPV Inactive (4), Oropharyngeal cancers HPV Negative (8)
GSE55542 (GEO) Oropharyngeal squamous cell carcinoma 36 Oropharyngeal cancers HPV Active (12), Oropharyngeal cancers HPV Inactive (8), Oropharyngeal cancers HPV Negative (16)
GSE138080 (GEO) Cervical intraepithelial neoplasia 25 Normal (10), Cervical intraepithelial neoplasia (HPV+)(15)
GSE51993 (GEO) Cervical intraepithelial neoplasia 24 Cervical intraepithelial neoplasia (HPV+)(17), Normal(7)

> Dataset: GSE65858

HeatMap of cell type fractions in all samples Lollipop of AMY1C expression and immune infiltrating cell level correlation result in HPV+ samples
AMY1C expression: Low -> High

> Dataset: GSE40774

HeatMap of cell type fractions in all samples Lollipop of AMY1C expression and immune infiltrating cell level correlation result in HPV+ samples
AMY1C expression: Low -> High

> Dataset: GSE55546

HeatMap of cell type fractions in all samples Lollipop of AMY1C expression and immune infiltrating cell level correlation result in HPV+ samples
AMY1C expression: Low -> High

> Dataset: GSE55544

HeatMap of cell type fractions in all samples Lollipop of AMY1C expression and immune infiltrating cell level correlation result in HPV+ samples
AMY1C expression: Low -> High

> Dataset: GSE55542

HeatMap of cell type fractions in all samples Lollipop of AMY1C expression and immune infiltrating cell level correlation result in HPV+ samples
AMY1C expression: Low -> High

> Dataset: GSE138080

HeatMap of cell type fractions in all samples Lollipop of AMY1C expression and immune infiltrating cell level correlation result in HPV+ samples
AMY1C expression: Low -> High

> Dataset: GSE51993

HeatMap of cell type fractions in all samples Lollipop of AMY1C expression and immune infiltrating cell level correlation result in HPV+ samples
AMY1C expression: Low -> High

Contents
Description

Gene Information Note

  • Integration Table: if previous studies reported that target gene was altered by virus integration events, the overlap between VISs in this literature and Cistrome factors was listed in the "Target gene [gene] related to VIS" section

Immune Analysis Plot Note

  • Left: Heatmap of target gene expression and the level of various types of immune cells (cell type fractions) in all samples based on CIBERSORT method.
  • Right: Correlation of target gene expression and the level of various types of immune cells in virus positive samples (Pearson Correlation Coefficient).