HTLV1 Target gene Detail Information

> APOBEC1 Gene Search Result


Gene Information
Gene Name APOBEC1
Gene ID 339
Gene Full Name apolipoprotein B mRNA editing enzyme catalytic subunit 1
Gene Alias BEDP; HEPR; CDAR1; APOBEC-1
Transcripts ENSG00000111701
Virus HTLV1
Gene Type protein coding
HPA Location Info
HPA Protein Class Info Enzymes, Predicted intracellular proteins
Uniport_ID P41238
HGNC ID HGNC:604
VEGA ID OTTHUMG00000141288
OMIM ID 600130
String ID 9606.ENSP00000229304
Drugbank ID BE0010263; BE0009915
PharmGKB ID PA24889
Target gene [APOBEC1] related to VISs
DVID Chromosome HM TFBS CA Sum of Overlapped Records Detail
6009002 chr12 24 16 40 View

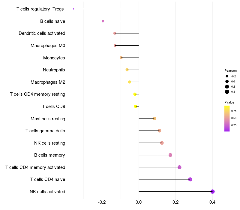
Relationship between gene expression and immune infiltrating cell level
Data ID Disease Sample number Sample type
GSE55851 (GEO) Adult T-cell leukemia 21 Normal (3), Asymptomatic carriers (HTLV1+)(6), Adult T-cell Leukemia-lymphoma (HTLV1+)(12)
GSE29312 (GEO) HTLV-1 associated myelopathy 39 Normal (9), Asymptomatic carriers (HTLV1+)(20), HTLV-1-associated myelopathy (HTLV1+)(10)
GSE29332 (GEO) HTLV-1 associated myelopathy 35 Normal (8), Asymptomatic carriers (HTLV1+)(17), HTLV-1-associated myelopathy (HTLV1+)(10)

> Dataset: GSE55851

HeatMap of cell type fractions in all samples Lollipop of APOBEC1 expression and immune infiltrating cell level correlation result in HTLV1+ samples
APOBEC1 expression: Low -> High

> Dataset: GSE29312

HeatMap of cell type fractions in all samples Lollipop of APOBEC1 expression and immune infiltrating cell level correlation result in HTLV1+ samples
APOBEC1 expression: Low -> High

> Dataset: GSE29332

HeatMap of cell type fractions in all samples Lollipop of APOBEC1 expression and immune infiltrating cell level correlation result in HTLV1+ samples
APOBEC1 expression: Low -> High

Contents
Description

Gene Information Note

  • Integration Table: if previous studies reported that target gene was altered by virus integration events, the overlap between VISs in this literature and Cistrome factors was listed in the "Target gene [gene] related to VIS" section

Immune Analysis Plot Note

  • Left: Heatmap of target gene expression and the level of various types of immune cells (cell type fractions) in all samples based on CIBERSORT method.
  • Right: Correlation of target gene expression and the level of various types of immune cells in virus positive samples (Pearson Correlation Coefficient).