EBV Target gene Detail Information

> ARHGAP19 Gene Search Result


Gene Information
Gene Name ARHGAP19
Gene ID 84986
Gene Full Name Rho GTPase activating protein 19
Transcripts ENSG00000213390
Virus EBV
Gene Type protein coding
HPA Location Info Plasma membrane;
HPA Protein Class Info Predicted intracellular proteins
Uniport_ID Q14CB8
HGNC ID HGNC:23724
VEGA ID OTTHUMG00000018845
OMIM ID 611587
String ID 9606.ENSP00000351333
PharmGKB ID PA134917415
Target gene [ARHGAP19] related to VISs
DVID Chromosome HM TFBS CA Sum of Overlapped Records Detail
3300047 chr10 116 84 5 205 View

Relationship between gene expression and immune infiltrating cell level
Data ID Disease Sample number Sample type
GSE102203 (GEO) B-cell lymphoma 9 Plasmablastic lymphomas (EBV+)(6), Plasmablastic lymphomas (EBV-)(3)
GSE100458 (GEO) Burkitt lymphoma 14 Burkitt lyphoma cell line Akata(EBV+)(2),Burkitt lyphoma cell line Akata(EBV-)(2),Burkitt lyphoma cell line Awia(EBV+)(2),Burkitt lyphoma cell line Awia(EBV-)(2),Burkitt lyphoma cell line Eli(EBV+)(1),Burkitt lyphoma cell line Eli(EBV-)(1),Burkitt lyphoma cell line Mutu(EBV+)(2),Burkitt lyphoma cell line Mutu(EBV-)(2)
GSE42867 (GEO) Burkitt lymphoma 12 Burkitt lymphoma cell line Awia (EBV+)(12)
GSE135644 (GEO) Gastric carcinoma 10 Gastric adenocarcinoma cell line AGS (5), Gastric adenocarcinoma cell line AGS (EBV+)(5)
GSE45919 (GEO) Infectious mononucleosis 24 Infectious mononucleosis (IM)(EBV+)(3), Normal (9), Latent EBV (12)
GSE85599 (GEO) Infectious mononucleosis 17 Chronic active EBV infection (EBV+)(5), Acute infectious mononucleosis (EBV+)(6), Normal (6)
GSE58240 (GEO) Multiple sclerosis 32 Multiple sclerosis IFN-β treated (EBV+)(16), Multiple sclerosis untreated (EBV+)(16)
GSE12452 (GEO) Nasopharyngeal carcinoma 41 Nasopharyngeal carcinoma (EBV+)(31), Normal(10)

> Dataset: GSE102203

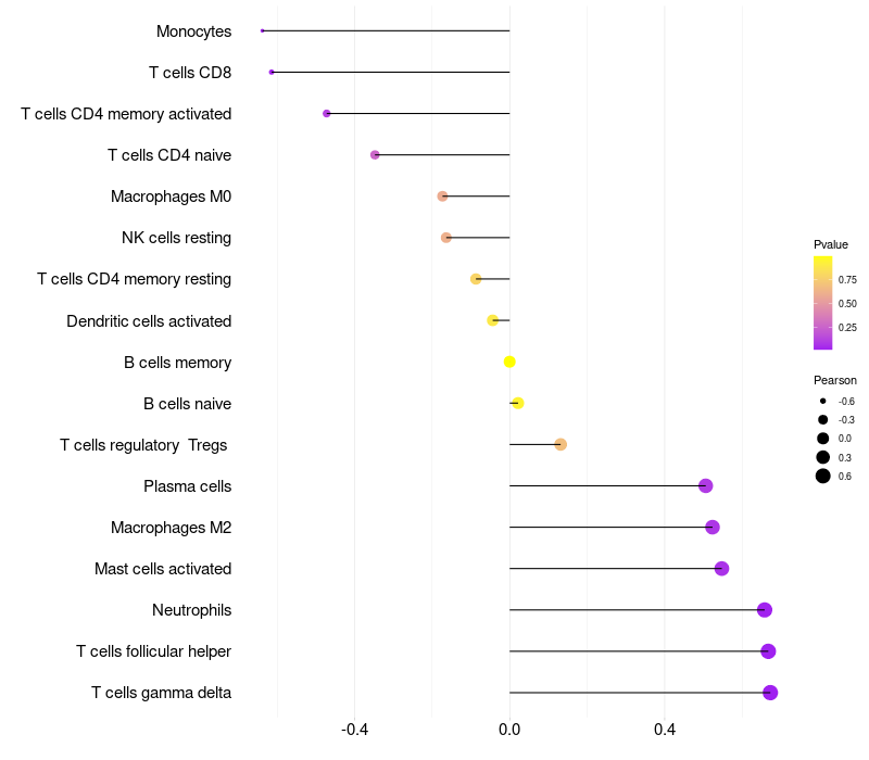
HeatMap of cell type fractions in all samples Lollipop of ARHGAP19 expression and immune infiltrating cell level correlation result in EBV+ samples
ARHGAP19 expression: Low -> High

> Dataset: GSE100458

HeatMap of cell type fractions in all samples Lollipop of ARHGAP19 expression and immune infiltrating cell level correlation result in EBV+ samples
ARHGAP19 expression: Low -> High

> Dataset: GSE42867

HeatMap of cell type fractions in all samples Lollipop of ARHGAP19 expression and immune infiltrating cell level correlation result in EBV+ samples
ARHGAP19 expression: Low -> High

> Dataset: GSE135644

HeatMap of cell type fractions in all samples Lollipop of ARHGAP19 expression and immune infiltrating cell level correlation result in EBV+ samples
ARHGAP19 expression: Low -> High

> Dataset: GSE45919

HeatMap of cell type fractions in all samples Lollipop of ARHGAP19 expression and immune infiltrating cell level correlation result in EBV+ samples
ARHGAP19 expression: Low -> High

> Dataset: GSE85599

HeatMap of cell type fractions in all samples Lollipop of ARHGAP19 expression and immune infiltrating cell level correlation result in EBV+ samples
ARHGAP19 expression: Low -> High

> Dataset: GSE58240

HeatMap of cell type fractions in all samples Lollipop of ARHGAP19 expression and immune infiltrating cell level correlation result in EBV+ samples
ARHGAP19 expression: Low -> High

> Dataset: GSE12452

HeatMap of cell type fractions in all samples Lollipop of ARHGAP19 expression and immune infiltrating cell level correlation result in EBV+ samples
ARHGAP19 expression: Low -> High

Contents
Description

Gene Information Note

  • Integration Table: if previous studies reported that target gene was altered by virus integration events, the overlap between VISs in this literature and Cistrome factors was listed in the "Target gene [gene] related to VIS" section

Immune Analysis Plot Note

  • Left: Heatmap of target gene expression and the level of various types of immune cells (cell type fractions) in all samples based on CIBERSORT method.
  • Right: Correlation of target gene expression and the level of various types of immune cells in virus positive samples (Pearson Correlation Coefficient).