HPV Target gene Detail Information

> ART1 Gene Search Result


Gene Information
Gene Name ART1
Gene ID 417
Gene Full Name ADP-ribosyltransferase 1
Gene Alias RT6; ART2; ARTC1; CD296
Transcripts ENSG00000129744
Virus HPV
Gene Type protein coding
HPA Location Info
Membrane Info Predicted membrane proteins
HPA Protein Class Info CD markers, Enzymes, Predicted membrane proteins
Uniport_ID P52961
HGNC ID HGNC:723
VEGA ID OTTHUMG00000011845
OMIM ID 601625
String ID 9606.ENSP00000250693
Drugbank ID BE0000931
PharmGKB ID PA25014
Target gene [ART1] related to VISs
DVID Chromosome HM TFBS CA Sum of Overlapped Records Detail
5404465 chr11 73 80 3 156 View
5404466 chr11 34 5 4 43 View
5404764 chr11 2 3 5 View

Relationship between gene expression and immune infiltrating cell level
Data ID Disease Sample number Sample type
GSE140662 (GEO) Condyloma Acuminatum 8 Condyloma acuminata (HPV+)(5), Skin(3)
GSE65858 (GEO) Head and neck squamous cell carcinoma 270 Head and neck squamous cell carcinoma (EBV+)(73), Head and neck squamous cell carcinoma (EBV-)(197)
GSE55546 (GEO) Oropharyngeal squamous cell carcinoma 16 Oropharyngeal cancers (HPV+)(12), Normal (4)
GSE55544 (GEO) Oropharyngeal squamous cell carcinoma 23 Oropharyngeal cancers HPV Active (11), Oropharyngeal cancers HPV Inactive (4), Oropharyngeal cancers HPV Negative (8)
GSE55542 (GEO) Oropharyngeal squamous cell carcinoma 36 Oropharyngeal cancers HPV Active (12), Oropharyngeal cancers HPV Inactive (8), Oropharyngeal cancers HPV Negative (16)
GSE51993 (GEO) Cervical intraepithelial neoplasia 24 Cervical intraepithelial neoplasia (HPV+)(17), Normal(7)
HNSC (TCGA) Head and Neck squamous cell carcinoma 566 Head and Neck squamous cell carcinoma(HPV-)(483),Head and Neck squamous cell carcinoma(HPV+)(39),Paracancerous(HPV-)(44)

> Dataset: GSE140662

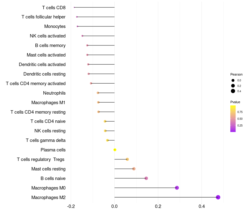
HeatMap of cell type fractions in all samples Lollipop of ART1 expression and immune infiltrating cell level correlation result in HPV+ samples
ART1 expression: Low -> High

> Dataset: GSE65858

HeatMap of cell type fractions in all samples Lollipop of ART1 expression and immune infiltrating cell level correlation result in HPV+ samples
ART1 expression: Low -> High

> Dataset: GSE55546

HeatMap of cell type fractions in all samples Lollipop of ART1 expression and immune infiltrating cell level correlation result in HPV+ samples
ART1 expression: Low -> High

> Dataset: GSE55544

HeatMap of cell type fractions in all samples Lollipop of ART1 expression and immune infiltrating cell level correlation result in HPV+ samples
ART1 expression: Low -> High

> Dataset: GSE55542

HeatMap of cell type fractions in all samples Lollipop of ART1 expression and immune infiltrating cell level correlation result in HPV+ samples
ART1 expression: Low -> High

> Dataset: GSE51993

HeatMap of cell type fractions in all samples Lollipop of ART1 expression and immune infiltrating cell level correlation result in HPV+ samples
ART1 expression: Low -> High

> Dataset: HNSC

HeatMap of cell type fractions in all samples Lollipop of ART1 expression and immune infiltrating cell level correlation result in HPV+ samples
ART1 expression: Low -> High

Contents
Description

Gene Information Note

  • Integration Table: if previous studies reported that target gene was altered by virus integration events, the overlap between VISs in this literature and Cistrome factors was listed in the "Target gene [gene] related to VIS" section

Immune Analysis Plot Note

  • Left: Heatmap of target gene expression and the level of various types of immune cells (cell type fractions) in all samples based on CIBERSORT method.
  • Right: Correlation of target gene expression and the level of various types of immune cells in virus positive samples (Pearson Correlation Coefficient).