HPV Target gene Detail Information

> ASCC2 Gene Search Result


Gene Information
Gene Name ASCC2
Gene ID 84164
Gene Full Name activating signal cointegrator 1 complex subunit 2
Gene Alias p100; ASC1p100
Transcripts ENSG00000100325
Virus HPV
Gene Type protein coding
HPA Location Info Cytosol;Focal adhesion sites;Nucleoplasm;
HPA Protein Class Info Predicted intracellular proteins
Uniport_ID Q9H1I8
HGNC ID HGNC:24103
VEGA ID OTTHUMG00000067658
OMIM ID 614216
String ID 9606.ENSP00000380877
PharmGKB ID PA134916940
Target gene [ASCC2] related to VISs
DVID Chromosome HM TFBS CA Sum of Overlapped Records Detail
5402759 chr22 1 1 2 View

Relationship between gene expression and immune infiltrating cell level
Data ID Disease Sample number Sample type
GSE65858 (GEO) Head and neck squamous cell carcinoma 270 Head and neck squamous cell carcinoma (EBV+)(73), Head and neck squamous cell carcinoma (EBV-)(197)
GSE40774 (GEO) Head and neck squamous cell carcinoma 134 Head and neck Squamous cell carcinomas GLOTTIC LARYNX (EBV-)(2), Head and neck Squamous cell carcinomas HYPOPHARYNX (EBV-)(9), Head and neck Squamous cell carcinomas ORAL CAVITY (EBV-)(23), Head and neck Squamous cell carcinomas ORAL CAVITY (EBV+)(2), Head and neck Squamous cell carcinomas OROPHARYNX (EBV-)(22), Head and neck Squamous cell carcinomas OROPHARYNX (EBV+)(54), Head and neck Squamous cell carcinomas OTHER (EBV+)(1), Head and neck Squamous cell carcinomas SUBGLOTTIC LARYNX (EBV-)(1), Head and neck Squamous cell carcinomas SUPRAGLOTTIC (EBV-)(19), Squamous cell carcinomas SUPRAGLOTTIC (EBV+)(1)
GSE55542 (GEO) Oropharyngeal squamous cell carcinoma 36 Oropharyngeal cancers HPV Active (12), Oropharyngeal cancers HPV Inactive (8), Oropharyngeal cancers HPV Negative (16)
GSE138080 (GEO) Cervical intraepithelial neoplasia 25 Normal (10), Cervical intraepithelial neoplasia (HPV+)(15)
GSE51993 (GEO) Cervical intraepithelial neoplasia 24 Cervical intraepithelial neoplasia (HPV+)(17), Normal(7)
HNSC (TCGA) Head and Neck squamous cell carcinoma 566 Head and Neck squamous cell carcinoma(HPV-)(483),Head and Neck squamous cell carcinoma(HPV+)(39),Paracancerous(HPV-)(44)

> Dataset: GSE65858

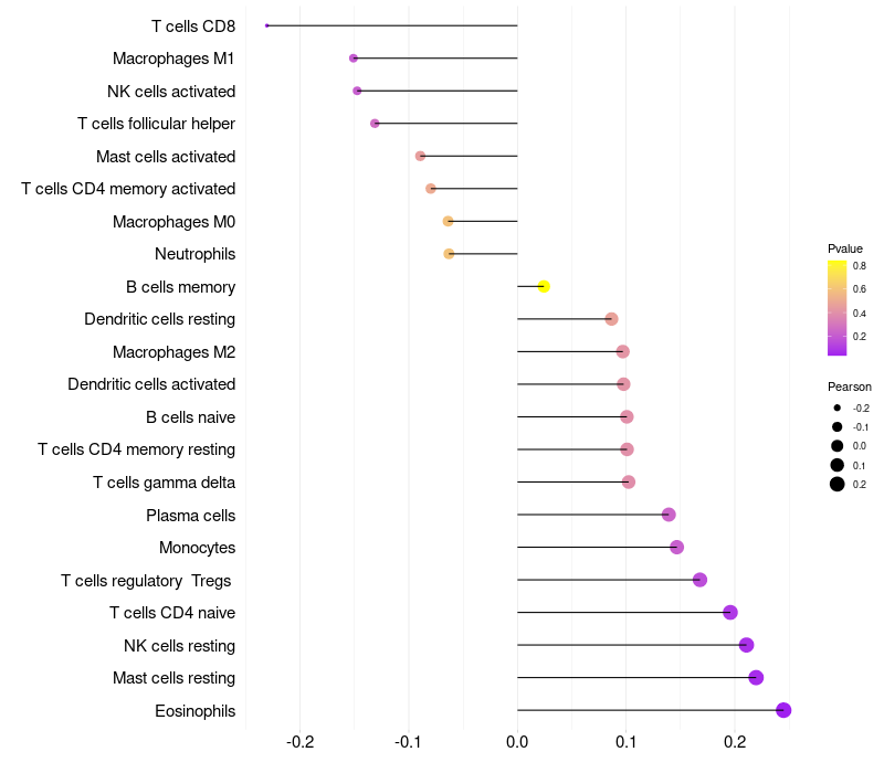
HeatMap of cell type fractions in all samples Lollipop of ASCC2 expression and immune infiltrating cell level correlation result in HPV+ samples
ASCC2 expression: Low -> High

> Dataset: GSE40774

HeatMap of cell type fractions in all samples Lollipop of ASCC2 expression and immune infiltrating cell level correlation result in HPV+ samples
ASCC2 expression: Low -> High

> Dataset: GSE55542

HeatMap of cell type fractions in all samples Lollipop of ASCC2 expression and immune infiltrating cell level correlation result in HPV+ samples
ASCC2 expression: Low -> High

> Dataset: GSE138080

HeatMap of cell type fractions in all samples Lollipop of ASCC2 expression and immune infiltrating cell level correlation result in HPV+ samples
ASCC2 expression: Low -> High

> Dataset: GSE51993

HeatMap of cell type fractions in all samples Lollipop of ASCC2 expression and immune infiltrating cell level correlation result in HPV+ samples
ASCC2 expression: Low -> High

> Dataset: HNSC

HeatMap of cell type fractions in all samples Lollipop of ASCC2 expression and immune infiltrating cell level correlation result in HPV+ samples
ASCC2 expression: Low -> High

Contents
Description

Gene Information Note

  • Integration Table: if previous studies reported that target gene was altered by virus integration events, the overlap between VISs in this literature and Cistrome factors was listed in the "Target gene [gene] related to VIS" section

Immune Analysis Plot Note

  • Left: Heatmap of target gene expression and the level of various types of immune cells (cell type fractions) in all samples based on CIBERSORT method.
  • Right: Correlation of target gene expression and the level of various types of immune cells in virus positive samples (Pearson Correlation Coefficient).