HPV Target gene Detail Information

> ATXN7L3B Gene Search Result


Gene Information
Gene Name ATXN7L3B
Gene ID 552889
Gene Full Name ataxin 7 like 3B
Gene Alias lnc-SCA7
Transcripts ENSG00000253719
Virus HPV
Gene Type protein coding
HPA Location Info Nucleoplasm;
HPA Protein Class Info Disease related genes, Predicted intracellular proteins
Uniport_ID Q96GX2
HGNC ID HGNC:37931
VEGA ID OTTHUMG00000163936
OMIM ID 615579
String ID 9606.ENSP00000430000
PharmGKB ID PA165512339
Target gene [ATXN7L3B] related to VISs
DVID Chromosome HM TFBS CA Sum of Overlapped Records Detail
5403265 chr12 0 View
5403266 chr12 6 5 1 12 View

Relationship between gene expression and immune infiltrating cell level
Data ID Disease Sample number Sample type
GSE140662 (GEO) Condyloma Acuminatum 8 Condyloma acuminata (HPV+)(5), Skin(3)
GSE40774 (GEO) Head and neck squamous cell carcinoma 134 Head and neck Squamous cell carcinomas GLOTTIC LARYNX (EBV-)(2), Head and neck Squamous cell carcinomas HYPOPHARYNX (EBV-)(9), Head and neck Squamous cell carcinomas ORAL CAVITY (EBV-)(23), Head and neck Squamous cell carcinomas ORAL CAVITY (EBV+)(2), Head and neck Squamous cell carcinomas OROPHARYNX (EBV-)(22), Head and neck Squamous cell carcinomas OROPHARYNX (EBV+)(54), Head and neck Squamous cell carcinomas OTHER (EBV+)(1), Head and neck Squamous cell carcinomas SUBGLOTTIC LARYNX (EBV-)(1), Head and neck Squamous cell carcinomas SUPRAGLOTTIC (EBV-)(19), Squamous cell carcinomas SUPRAGLOTTIC (EBV+)(1)
GSE55546 (GEO) Oropharyngeal squamous cell carcinoma 16 Oropharyngeal cancers (HPV+)(12), Normal (4)
GSE55544 (GEO) Oropharyngeal squamous cell carcinoma 23 Oropharyngeal cancers HPV Active (11), Oropharyngeal cancers HPV Inactive (4), Oropharyngeal cancers HPV Negative (8)
GSE55542 (GEO) Oropharyngeal squamous cell carcinoma 36 Oropharyngeal cancers HPV Active (12), Oropharyngeal cancers HPV Inactive (8), Oropharyngeal cancers HPV Negative (16)
HNSC (TCGA) Head and Neck squamous cell carcinoma 566 Head and Neck squamous cell carcinoma(HPV-)(483),Head and Neck squamous cell carcinoma(HPV+)(39),Paracancerous(HPV-)(44)

> Dataset: GSE140662

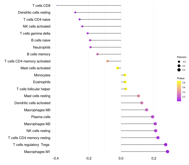
HeatMap of cell type fractions in all samples Lollipop of ATXN7L3B expression and immune infiltrating cell level correlation result in HPV+ samples
ATXN7L3B expression: Low -> High

> Dataset: GSE40774

HeatMap of cell type fractions in all samples Lollipop of ATXN7L3B expression and immune infiltrating cell level correlation result in HPV+ samples
ATXN7L3B expression: Low -> High

> Dataset: GSE55546

HeatMap of cell type fractions in all samples Lollipop of ATXN7L3B expression and immune infiltrating cell level correlation result in HPV+ samples
ATXN7L3B expression: Low -> High

> Dataset: GSE55544

HeatMap of cell type fractions in all samples Lollipop of ATXN7L3B expression and immune infiltrating cell level correlation result in HPV+ samples
ATXN7L3B expression: Low -> High

> Dataset: GSE55542

HeatMap of cell type fractions in all samples Lollipop of ATXN7L3B expression and immune infiltrating cell level correlation result in HPV+ samples
ATXN7L3B expression: Low -> High

> Dataset: HNSC

HeatMap of cell type fractions in all samples Lollipop of ATXN7L3B expression and immune infiltrating cell level correlation result in HPV+ samples
ATXN7L3B expression: Low -> High

Contents
Description

Gene Information Note

  • Integration Table: if previous studies reported that target gene was altered by virus integration events, the overlap between VISs in this literature and Cistrome factors was listed in the "Target gene [gene] related to VIS" section

Immune Analysis Plot Note

  • Left: Heatmap of target gene expression and the level of various types of immune cells (cell type fractions) in all samples based on CIBERSORT method.
  • Right: Correlation of target gene expression and the level of various types of immune cells in virus positive samples (Pearson Correlation Coefficient).