HTLV1 Target gene Detail Information

> BLCAP Gene Search Result


Gene Information
Gene Name BLCAP
Gene ID 10904
Gene Full Name BLCAP, apoptosis inducing factor
Gene Alias BC10
Transcripts ENSG00000166619
Virus HTLV1
Gene Type protein coding
HPA Location Info Nucleoli;
HPA Protein Class Info Predicted intracellular proteins
Gene Function Suppressor gene
Uniport_ID P62952
HGNC ID HGNC:1055
VEGA ID OTTHUMG00000032419
OMIM ID 613110
String ID 9606.ENSP00000397172
PharmGKB ID PA25367
Target gene [BLCAP] related to VISs
DVID Chromosome HM TFBS CA Sum of Overlapped Records Detail
6012840 chr20 9 11 1 21 View

Relationship between gene expression and immune infiltrating cell level
Data ID Disease Sample number Sample type
GSE55851 (GEO) Adult T-cell leukemia 21 Normal (3), Asymptomatic carriers (HTLV1+)(6), Adult T-cell Leukemia-lymphoma (HTLV1+)(12)
GSE29312 (GEO) HTLV-1 associated myelopathy 39 Normal (9), Asymptomatic carriers (HTLV1+)(20), HTLV-1-associated myelopathy (HTLV1+)(10)
GSE29332 (GEO) HTLV-1 associated myelopathy 35 Normal (8), Asymptomatic carriers (HTLV1+)(17), HTLV-1-associated myelopathy (HTLV1+)(10)

> Dataset: GSE55851

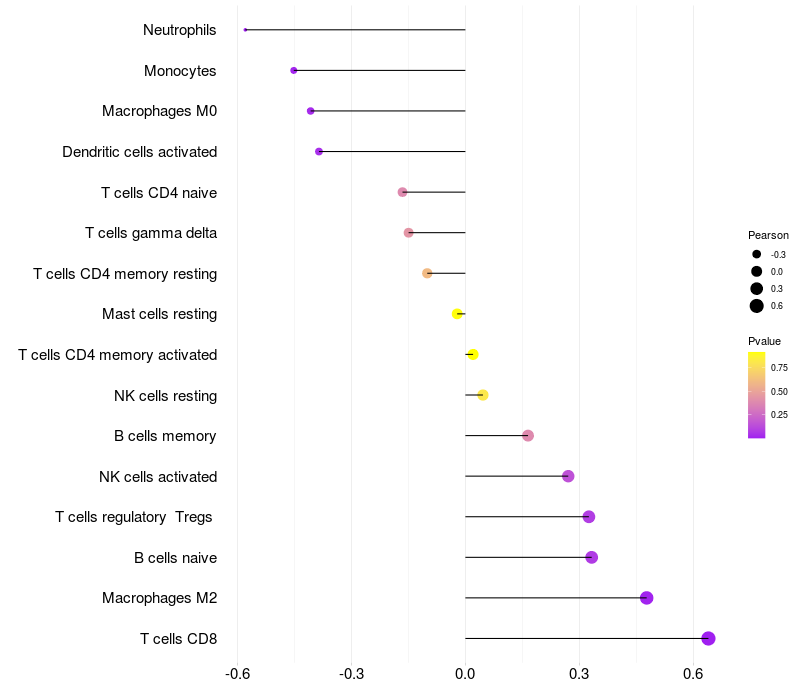
HeatMap of cell type fractions in all samples Lollipop of BLCAP expression and immune infiltrating cell level correlation result in HTLV1+ samples
BLCAP expression: Low -> High

> Dataset: GSE29312

HeatMap of cell type fractions in all samples Lollipop of BLCAP expression and immune infiltrating cell level correlation result in HTLV1+ samples
BLCAP expression: Low -> High

> Dataset: GSE29332

HeatMap of cell type fractions in all samples Lollipop of BLCAP expression and immune infiltrating cell level correlation result in HTLV1+ samples
BLCAP expression: Low -> High

Contents
Description

Gene Information Note

  • Integration Table: if previous studies reported that target gene was altered by virus integration events, the overlap between VISs in this literature and Cistrome factors was listed in the "Target gene [gene] related to VIS" section

Immune Analysis Plot Note

  • Left: Heatmap of target gene expression and the level of various types of immune cells (cell type fractions) in all samples based on CIBERSORT method.
  • Right: Correlation of target gene expression and the level of various types of immune cells in virus positive samples (Pearson Correlation Coefficient).