HPV Target gene Detail Information

> C11orf87 Gene Search Result


Gene Information
Gene Name C11orf87
Gene ID 399947
Gene Full Name chromosome 11 open reading frame 87
Gene Alias NEURIM1; LOH11CR1A
Transcripts ENSG00000185742
Virus HPV
Gene Type protein coding
HPA Location Info
Membrane Info Predicted membrane proteins
HPA Protein Class Info Predicted membrane proteins
Uniport_ID Q6NUJ2
HGNC ID HGNC:33788
VEGA ID OTTHUMG00000166559
String ID 9606.ENSP00000331581
PharmGKB ID PA162377822
Target gene [C11orf87] related to VISs
DVID Chromosome HM TFBS CA Sum of Overlapped Records Detail
5403982 chr11 4 1 5 View
5404003 chr11 5 5 View

Relationship between gene expression and immune infiltrating cell level
Data ID Disease Sample number Sample type
GSE140662 (GEO) Condyloma Acuminatum 8 Condyloma acuminata (HPV+)(5), Skin(3)
GSE55546 (GEO) Oropharyngeal squamous cell carcinoma 16 Oropharyngeal cancers (HPV+)(12), Normal (4)
GSE55544 (GEO) Oropharyngeal squamous cell carcinoma 23 Oropharyngeal cancers HPV Active (11), Oropharyngeal cancers HPV Inactive (4), Oropharyngeal cancers HPV Negative (8)
GSE55542 (GEO) Oropharyngeal squamous cell carcinoma 36 Oropharyngeal cancers HPV Active (12), Oropharyngeal cancers HPV Inactive (8), Oropharyngeal cancers HPV Negative (16)
HNSC (TCGA) Head and Neck squamous cell carcinoma 566 Head and Neck squamous cell carcinoma(HPV-)(483),Head and Neck squamous cell carcinoma(HPV+)(39),Paracancerous(HPV-)(44)

> Dataset: GSE140662

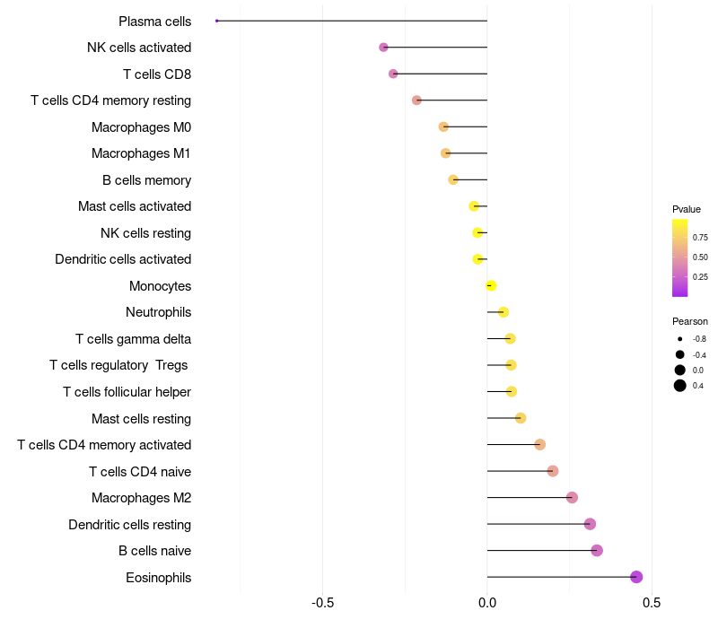
HeatMap of cell type fractions in all samples Lollipop of C11orf87 expression and immune infiltrating cell level correlation result in HPV+ samples
C11orf87 expression: Low -> High

> Dataset: GSE55546

HeatMap of cell type fractions in all samples Lollipop of C11orf87 expression and immune infiltrating cell level correlation result in HPV+ samples
C11orf87 expression: Low -> High

> Dataset: GSE55544

HeatMap of cell type fractions in all samples Lollipop of C11orf87 expression and immune infiltrating cell level correlation result in HPV+ samples
C11orf87 expression: Low -> High

> Dataset: GSE55542

HeatMap of cell type fractions in all samples Lollipop of C11orf87 expression and immune infiltrating cell level correlation result in HPV+ samples
C11orf87 expression: Low -> High

> Dataset: HNSC

HeatMap of cell type fractions in all samples Lollipop of C11orf87 expression and immune infiltrating cell level correlation result in HPV+ samples
C11orf87 expression: Low -> High

Contents
Description

Gene Information Note

  • Integration Table: if previous studies reported that target gene was altered by virus integration events, the overlap between VISs in this literature and Cistrome factors was listed in the "Target gene [gene] related to VIS" section

Immune Analysis Plot Note

  • Left: Heatmap of target gene expression and the level of various types of immune cells (cell type fractions) in all samples based on CIBERSORT method.
  • Right: Correlation of target gene expression and the level of various types of immune cells in virus positive samples (Pearson Correlation Coefficient).