EBV Target gene Detail Information

> C19orf38 Gene Search Result


Gene Information
Gene Name C19orf38
Gene ID 255809
Gene Full Name chromosome 19 open reading frame 38
Gene Alias HIDE1
Transcripts ENSG00000214212
Virus EBV
Gene Type protein coding
HPA Location Info Cytosol;Golgi apparatus;Plasma membrane;
Membrane Info Predicted membrane proteins
HPA Protein Class Info Predicted membrane proteins
Uniport_ID A8MVS5
HGNC ID HGNC:34073
VEGA ID OTTHUMG00000180697
String ID 9606.ENSP00000380920
PharmGKB ID PA162378624
Target gene [C19orf38] related to VISs
DVID Chromosome HM TFBS CA Sum of Overlapped Records Detail
3000065 chr19 157 156 8 321 View

Relationship between gene expression and immune infiltrating cell level
Data ID Disease Sample number Sample type
GSE102203 (GEO) B-cell lymphoma 9 Plasmablastic lymphomas (EBV+)(6), Plasmablastic lymphomas (EBV-)(3)
GSE85599 (GEO) Infectious mononucleosis 17 Chronic active EBV infection (EBV+)(5), Acute infectious mononucleosis (EBV+)(6), Normal (6)

> Dataset: GSE102203

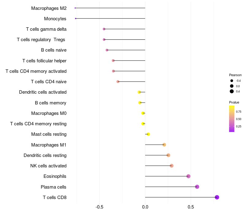
HeatMap of cell type fractions in all samples Lollipop of C19orf38 expression and immune infiltrating cell level correlation result in EBV+ samples
C19orf38 expression: Low -> High

> Dataset: GSE85599

HeatMap of cell type fractions in all samples Lollipop of C19orf38 expression and immune infiltrating cell level correlation result in EBV+ samples
C19orf38 expression: Low -> High

Contents
Description

Gene Information Note

  • Integration Table: if previous studies reported that target gene was altered by virus integration events, the overlap between VISs in this literature and Cistrome factors was listed in the "Target gene [gene] related to VIS" section

Immune Analysis Plot Note

  • Left: Heatmap of target gene expression and the level of various types of immune cells (cell type fractions) in all samples based on CIBERSORT method.
  • Right: Correlation of target gene expression and the level of various types of immune cells in virus positive samples (Pearson Correlation Coefficient).