HTLV1 Target gene Detail Information

> CCDC59 Gene Search Result


Gene Information
Gene Name CCDC59
Gene ID 29080
Gene Full Name coiled-coil domain containing 59
Gene Alias BR22; TAP26; HSPC128
Transcripts ENSG00000133773
Virus HTLV1
Gene Type protein coding
HPA Location Info Nucleoli;Nucleoli rim;Nucleoplasm;Plasma membrane;
HPA Protein Class Info Predicted intracellular proteins
Uniport_ID Q9P031
HGNC ID HGNC:25005
VEGA ID OTTHUMG00000170251
OMIM ID 619280
String ID 9606.ENSP00000256151
PharmGKB ID PA143485412
Target gene [CCDC59] related to VISs
DVID Chromosome HM TFBS CA Sum of Overlapped Records Detail
6000868 chr12 741 23 764 View

Relationship between gene expression and immune infiltrating cell level
Data ID Disease Sample number Sample type
GSE55851 (GEO) Adult T-cell leukemia 21 Normal (3), Asymptomatic carriers (HTLV1+)(6), Adult T-cell Leukemia-lymphoma (HTLV1+)(12)
GSE29312 (GEO) HTLV-1 associated myelopathy 39 Normal (9), Asymptomatic carriers (HTLV1+)(20), HTLV-1-associated myelopathy (HTLV1+)(10)
GSE29332 (GEO) HTLV-1 associated myelopathy 35 Normal (8), Asymptomatic carriers (HTLV1+)(17), HTLV-1-associated myelopathy (HTLV1+)(10)

> Dataset: GSE55851

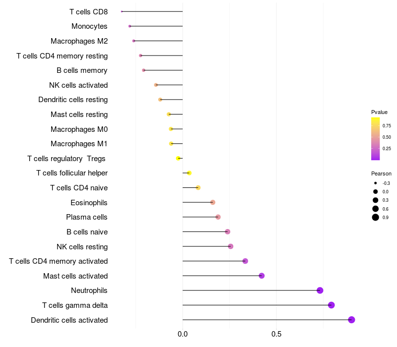
HeatMap of cell type fractions in all samples Lollipop of CCDC59 expression and immune infiltrating cell level correlation result in HTLV1+ samples
CCDC59 expression: Low -> High

> Dataset: GSE29312

HeatMap of cell type fractions in all samples Lollipop of CCDC59 expression and immune infiltrating cell level correlation result in HTLV1+ samples
CCDC59 expression: Low -> High

> Dataset: GSE29332

HeatMap of cell type fractions in all samples Lollipop of CCDC59 expression and immune infiltrating cell level correlation result in HTLV1+ samples
CCDC59 expression: Low -> High

Contents
Description

Gene Information Note

  • Integration Table: if previous studies reported that target gene was altered by virus integration events, the overlap between VISs in this literature and Cistrome factors was listed in the "Target gene [gene] related to VIS" section

Immune Analysis Plot Note

  • Left: Heatmap of target gene expression and the level of various types of immune cells (cell type fractions) in all samples based on CIBERSORT method.
  • Right: Correlation of target gene expression and the level of various types of immune cells in virus positive samples (Pearson Correlation Coefficient).