EBV Target gene Detail Information

> CD74 Gene Search Result


Gene Information
Gene Name CD74
Gene ID 972
Gene Full Name CD74 molecule
Gene Alias II; p33; DHLAG; HLADG; Ia-GAMMA
Transcripts ENSG00000019582
Virus EBV
Gene Type protein coding
HPA Location Info Golgi apparatus;
Membrane Info Predicted membrane proteins
HPA Protein Class Info Cancer-related genes, CD markers, Disease related genes, Predicted membrane proteins
Uniport_ID P04233
HGNC ID HGNC:1697
VEGA ID OTTHUMG00000163559
OMIM ID 142790
String ID 9606.ENSP00000009530
PharmGKB ID PA26236
Target gene [CD74] related to VISs
DVID Chromosome HM TFBS CA Sum of Overlapped Records Detail
3200004 chr5 2574 1285 1662 5521 View

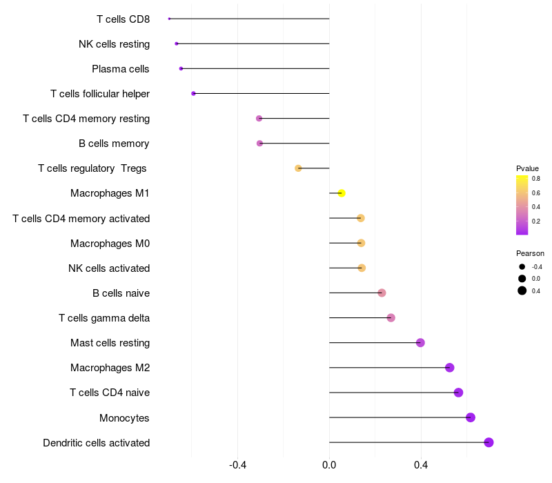
Relationship between gene expression and immune infiltrating cell level
Data ID Disease Sample number Sample type
GSE102203 (GEO) B-cell lymphoma 9 Plasmablastic lymphomas (EBV+)(6), Plasmablastic lymphomas (EBV-)(3)
GSE100458 (GEO) Burkitt lymphoma 14 Burkitt lyphoma cell line Akata(EBV+)(2),Burkitt lyphoma cell line Akata(EBV-)(2),Burkitt lyphoma cell line Awia(EBV+)(2),Burkitt lyphoma cell line Awia(EBV-)(2),Burkitt lyphoma cell line Eli(EBV+)(1),Burkitt lyphoma cell line Eli(EBV-)(1),Burkitt lyphoma cell line Mutu(EBV+)(2),Burkitt lyphoma cell line Mutu(EBV-)(2)
GSE42867 (GEO) Burkitt lymphoma 12 Burkitt lymphoma cell line Awia (EBV+)(12)
GSE135644 (GEO) Gastric carcinoma 10 Gastric adenocarcinoma cell line AGS (5), Gastric adenocarcinoma cell line AGS (EBV+)(5)
GSE45919 (GEO) Infectious mononucleosis 24 Infectious mononucleosis (IM)(EBV+)(3), Normal (9), Latent EBV (12)
GSE85599 (GEO) Infectious mononucleosis 17 Chronic active EBV infection (EBV+)(5), Acute infectious mononucleosis (EBV+)(6), Normal (6)
GSE58240 (GEO) Multiple sclerosis 32 Multiple sclerosis IFN-β treated (EBV+)(16), Multiple sclerosis untreated (EBV+)(16)
GSE12452 (GEO) Nasopharyngeal carcinoma 41 Nasopharyngeal carcinoma (EBV+)(31), Normal(10)

> Dataset: GSE102203

HeatMap of cell type fractions in all samples Lollipop of CD74 expression and immune infiltrating cell level correlation result in EBV+ samples
CD74 expression: Low -> High

> Dataset: GSE100458

HeatMap of cell type fractions in all samples Lollipop of CD74 expression and immune infiltrating cell level correlation result in EBV+ samples
CD74 expression: Low -> High

> Dataset: GSE42867

HeatMap of cell type fractions in all samples Lollipop of CD74 expression and immune infiltrating cell level correlation result in EBV+ samples
CD74 expression: Low -> High

> Dataset: GSE135644

HeatMap of cell type fractions in all samples Lollipop of CD74 expression and immune infiltrating cell level correlation result in EBV+ samples
CD74 expression: Low -> High

> Dataset: GSE45919

HeatMap of cell type fractions in all samples Lollipop of CD74 expression and immune infiltrating cell level correlation result in EBV+ samples
CD74 expression: Low -> High

> Dataset: GSE85599

HeatMap of cell type fractions in all samples Lollipop of CD74 expression and immune infiltrating cell level correlation result in EBV+ samples
CD74 expression: Low -> High

> Dataset: GSE58240

HeatMap of cell type fractions in all samples Lollipop of CD74 expression and immune infiltrating cell level correlation result in EBV+ samples
CD74 expression: Low -> High

> Dataset: GSE12452

HeatMap of cell type fractions in all samples Lollipop of CD74 expression and immune infiltrating cell level correlation result in EBV+ samples
CD74 expression: Low -> High

Contents
Description

Gene Information Note

  • Integration Table: if previous studies reported that target gene was altered by virus integration events, the overlap between VISs in this literature and Cistrome factors was listed in the "Target gene [gene] related to VIS" section

Immune Analysis Plot Note

  • Left: Heatmap of target gene expression and the level of various types of immune cells (cell type fractions) in all samples based on CIBERSORT method.
  • Right: Correlation of target gene expression and the level of various types of immune cells in virus positive samples (Pearson Correlation Coefficient).