|
Gene Information
|
Gene Name
|
CHIC2 |
|
Gene ID
|
26511
|
|
Gene Full Name
|
cysteine rich hydrophobic domain 2 |
|
Gene Alias
|
BTL |
|
Transcripts
|
ENSG00000109220
|
|
Virus
|
HBV |
|
Gene Type
|
protein coding |
|
HPA Location Info
|
Plasma membrane;Vesicles;
|
|
Membrane Info
|
Predicted membrane proteins |
|
HPA Protein Class Info
|
Disease related genes, Predicted intracellular proteins, Predicted membrane proteins |
|
Uniport_ID
|
Q9UKJ5
|
|
HGNC ID
|
HGNC:1935
|
|
VEGA ID
|
OTTHUMG00000102101
|
|
OMIM ID
|
604332 |
|
String ID
|
9606.ENSP00000263921
|
|
PharmGKB ID
|
PA26466
|
Target gene [CHIC2] related to VISs
| DVID |
Chromosome |
HM |
TFBS |
CA |
Sum of Overlapped Records |
Detail |
| 1002179 |
chr4 |
320 |
48 |
6 |
374 |
View |
Relationship between gene expression and immune infiltrating cell level
| Data ID |
Disease |
Sample number |
Sample type |
|
GSE114783 (GEO) |
Chronic HBV (CHB) infection |
36 |
Chronic hepatitis B patients (HBV+)(10),Hepatocellular carcinoma (HBV+)(10),Liver cirrhosis(HBV+)(10),Normal(3),HBV carriers (3) |
|
GSE114783 (GEO) |
Hepatocellular carcinoma |
36 |
Chronic hepatitis B patients (HBV+)(10),Hepatocellular carcinoma (HBV+)(10),Liver cirrhosis(HBV+)(10),Normal(3),HBV carriers (3) |
|
GSE114783 (GEO) |
Liver cirrhosis |
36 |
Chronic hepatitis B patients (HBV+)(10),Hepatocellular carcinoma (HBV+)(10),Liver cirrhosis(HBV+)(10),Normal(3),HBV carriers (3) |
|
LIHC (TCGA) |
Liver hepatocellular carcinoma |
424 |
Liver hepatocellular carcinoma HCV (HBV+)(86), Liver hepatocellular carcinoma HCV (HBV-)(19), Liver hepatocellular carcinoma (HBV+)(209), Liver hepatocellular carcinoma (HBV+)(60), Paracancerous HCV (HBV+)(4), Paracancerous (HBV-)(28), Paracancerous (HBV+)(18) |
> Dataset: GSE114783
|
|
HeatMap of cell type fractions in all samples
|
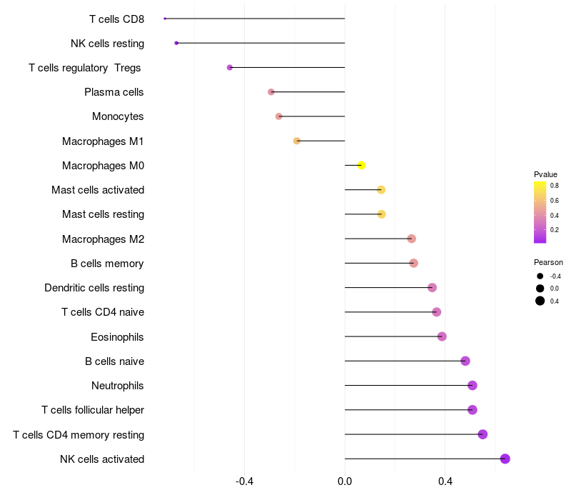
Lollipop of CHIC2 expression and immune infiltrating cell level correlation result in HBV+ Chronic HBV (CHB) infection samples
|
CHIC2 expression: Low -> High
|
|
|
Lollipop of CHIC2 expression and immune infiltrating cell level correlation result in HBV+ Liver cirrhosis samples
|
Lollipop of CHIC2 expression and immune infiltrating cell level correlation result in HBV+ Hepatocellular carcinoma samples
|
|
|
|
> Dataset: LIHC
|
|
HeatMap of cell type fractions in all samples
|
Lollipop of CHIC2 expression and immune infiltrating cell level correlation result in HBV+ samples
|
CHIC2 expression: Low -> High
|
|
|
|
|