HIV Target gene Detail Information

> CPEB4 Gene Search Result


Gene Information
Gene Name CPEB4
Gene ID 80315
Gene Full Name cytoplasmic polyadenylation element binding protein 4
Gene Alias CPE-BP4; hCPEB-4
Transcripts ENSG00000113742
Virus HIV
Gene Type protein coding
HPA Location Info Golgi apparatus;Nucleoplasm;Vesicles;
HPA Protein Class Info Predicted intracellular proteins
Uniport_ID Q17RY0
HGNC ID HGNC:21747
VEGA ID OTTHUMG00000130541
OMIM ID 610607
String ID 9606.ENSP00000265085
PharmGKB ID PA134869176
Target gene [CPEB4] related to VISs
DVID Chromosome HM TFBS CA Sum of Overlapped Records Detail
4003318 chr5 61 2 1 64 View

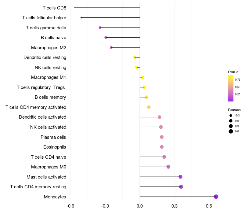
Relationship between gene expression and immune infiltrating cell level
Data ID Disease Sample number Sample type
GSE17372 (GEO) AIDS-associated lymphoma 17 AIDS-Related Lymphomas (HIV+)(17)
GSE50834 (GEO) HIV-infected disease 44 HIV infected (23), HIV/TB co-infected (21)

> Dataset: GSE17372

HeatMap of cell type fractions in all samples Lollipop of CPEB4 expression and immune infiltrating cell level correlation result in HIV+ samples
CPEB4 expression: Low -> High

> Dataset: GSE50834

HeatMap of cell type fractions in all samples Lollipop of CPEB4 expression and immune infiltrating cell level correlation result in HIV+ samples
CPEB4 expression: Low -> High

Contents
Description

Gene Information Note

  • Integration Table: if previous studies reported that target gene was altered by virus integration events, the overlap between VISs in this literature and Cistrome factors was listed in the "Target gene [gene] related to VIS" section

Immune Analysis Plot Note

  • Left: Heatmap of target gene expression and the level of various types of immune cells (cell type fractions) in all samples based on CIBERSORT method.
  • Right: Correlation of target gene expression and the level of various types of immune cells in virus positive samples (Pearson Correlation Coefficient).