HTLV1 Target gene Detail Information

> CPLX2 Gene Search Result


Gene Information
Gene Name CPLX2
Gene ID 10814
Gene Full Name complexin 2
Gene Alias CPX2; Hfb1; 921-L; CPX-2
Transcripts ENSG00000145920
Virus HTLV1
Gene Type protein coding
HPA Location Info Vesicles;
HPA Protein Class Info Predicted intracellular proteins
Uniport_ID Q6PUV4
HGNC ID HGNC:2310
VEGA ID OTTHUMG00000130665
OMIM ID 605033
String ID 9606.ENSP00000352544
PharmGKB ID PA26827
Target gene [CPLX2] related to VISs
DVID Chromosome HM TFBS CA Sum of Overlapped Records Detail
6000627 chr5 756 194 149 1099 View
6020536 chr5 5 2 7 View

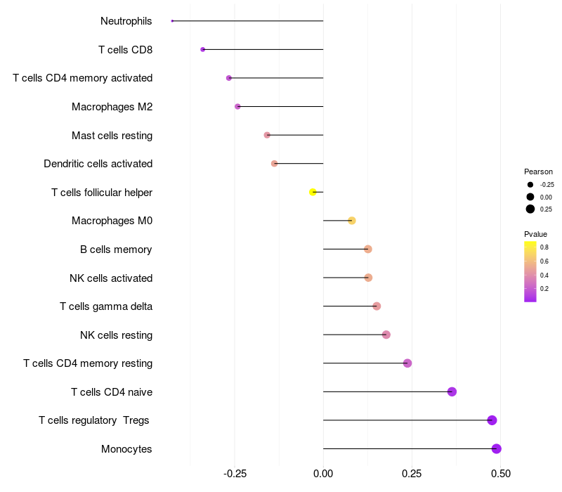
Relationship between gene expression and immune infiltrating cell level
Data ID Disease Sample number Sample type
GSE55851 (GEO) Adult T-cell leukemia 21 Normal (3), Asymptomatic carriers (HTLV1+)(6), Adult T-cell Leukemia-lymphoma (HTLV1+)(12)
GSE29312 (GEO) HTLV-1 associated myelopathy 39 Normal (9), Asymptomatic carriers (HTLV1+)(20), HTLV-1-associated myelopathy (HTLV1+)(10)
GSE29332 (GEO) HTLV-1 associated myelopathy 35 Normal (8), Asymptomatic carriers (HTLV1+)(17), HTLV-1-associated myelopathy (HTLV1+)(10)

> Dataset: GSE55851

HeatMap of cell type fractions in all samples Lollipop of CPLX2 expression and immune infiltrating cell level correlation result in HTLV1+ samples
CPLX2 expression: Low -> High

> Dataset: GSE29312

HeatMap of cell type fractions in all samples Lollipop of CPLX2 expression and immune infiltrating cell level correlation result in HTLV1+ samples
CPLX2 expression: Low -> High

> Dataset: GSE29332

HeatMap of cell type fractions in all samples Lollipop of CPLX2 expression and immune infiltrating cell level correlation result in HTLV1+ samples
CPLX2 expression: Low -> High

Contents
Description

Gene Information Note

  • Integration Table: if previous studies reported that target gene was altered by virus integration events, the overlap between VISs in this literature and Cistrome factors was listed in the "Target gene [gene] related to VIS" section

Immune Analysis Plot Note

  • Left: Heatmap of target gene expression and the level of various types of immune cells (cell type fractions) in all samples based on CIBERSORT method.
  • Right: Correlation of target gene expression and the level of various types of immune cells in virus positive samples (Pearson Correlation Coefficient).