HBV Target gene Detail Information

> CYP4F3 Gene Search Result


Gene Information
Gene Name CYP4F3
Gene ID 4051
Gene Full Name cytochrome P450 family 4 subfamily F member 3
Gene Alias CPF3; CYP4F; LTB4H
Transcripts ENSG00000186529
Virus HBV
Gene Type protein coding
HPA Location Info
HPA Protein Class Info Enzymes, Predicted intracellular proteins
Uniport_ID Q08477
HGNC ID HGNC:2646
VEGA ID OTTHUMG00000182374
OMIM ID 601270
String ID 9606.ENSP00000221307
PharmGKB ID PA234
Target gene [CYP4F3] related to VISs
DVID Chromosome HM TFBS CA Sum of Overlapped Records Detail
1400069 chr19 3 7 10 View

Relationship between gene expression and immune infiltrating cell level
Data ID Disease Sample number Sample type
LIHC (TCGA) Liver hepatocellular carcinoma 424 Liver hepatocellular carcinoma HCV (HBV+)(86), Liver hepatocellular carcinoma HCV (HBV-)(19), Liver hepatocellular carcinoma (HBV+)(209), Liver hepatocellular carcinoma (HBV+)(60), Paracancerous HCV (HBV+)(4), Paracancerous (HBV-)(28), Paracancerous (HBV+)(18)

> Dataset: LIHC

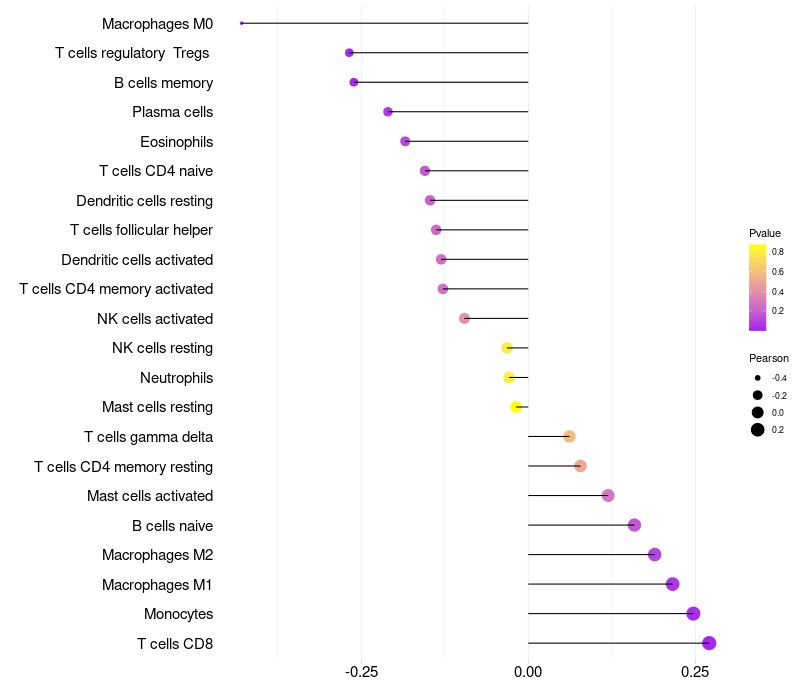
HeatMap of cell type fractions in all samples Lollipop of CYP4F3 expression and immune infiltrating cell level correlation result in HBV+ samples
CYP4F3 expression: Low -> High

Contents
Description

Gene Information Note

  • Integration Table: if previous studies reported that target gene was altered by virus integration events, the overlap between VISs in this literature and Cistrome factors was listed in the "Target gene [gene] related to VIS" section

Immune Analysis Plot Note

  • Left: Heatmap of target gene expression and the level of various types of immune cells (cell type fractions) in all samples based on CIBERSORT method.
  • Right: Correlation of target gene expression and the level of various types of immune cells in virus positive samples (Pearson Correlation Coefficient).