HTLV1 Target gene Detail Information

> DBN1 Gene Search Result


Gene Information
Gene Name DBN1
Gene ID 1627
Gene Full Name drebrin 1
Gene Alias D0S117E
Transcripts ENSG00000113758
Virus HTLV1
Gene Type protein coding
HPA Location Info Actin filaments;Plasma membrane;
HPA Protein Class Info Plasma proteins, Predicted intracellular proteins
Uniport_ID Q16643
HGNC ID HGNC:2695
VEGA ID OTTHUMG00000130856
OMIM ID 126660
String ID 9606.ENSP00000292385
PharmGKB ID PA27163
Target gene [DBN1] related to VISs
DVID Chromosome HM TFBS CA Sum of Overlapped Records Detail
6003061 chr5 186 186 View

Relationship between gene expression and immune infiltrating cell level
Data ID Disease Sample number Sample type
GSE55851 (GEO) Adult T-cell leukemia 21 Normal (3), Asymptomatic carriers (HTLV1+)(6), Adult T-cell Leukemia-lymphoma (HTLV1+)(12)
GSE29312 (GEO) HTLV-1 associated myelopathy 39 Normal (9), Asymptomatic carriers (HTLV1+)(20), HTLV-1-associated myelopathy (HTLV1+)(10)
GSE29332 (GEO) HTLV-1 associated myelopathy 35 Normal (8), Asymptomatic carriers (HTLV1+)(17), HTLV-1-associated myelopathy (HTLV1+)(10)

> Dataset: GSE55851

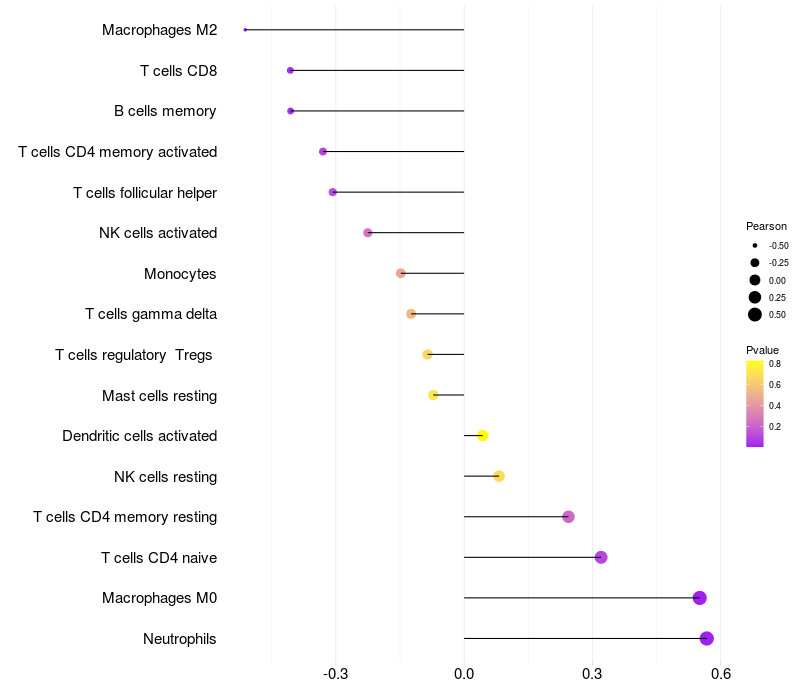
HeatMap of cell type fractions in all samples Lollipop of DBN1 expression and immune infiltrating cell level correlation result in HTLV1+ samples
DBN1 expression: Low -> High

> Dataset: GSE29312

HeatMap of cell type fractions in all samples Lollipop of DBN1 expression and immune infiltrating cell level correlation result in HTLV1+ samples
DBN1 expression: Low -> High

> Dataset: GSE29332

HeatMap of cell type fractions in all samples Lollipop of DBN1 expression and immune infiltrating cell level correlation result in HTLV1+ samples
DBN1 expression: Low -> High

Contents
Description

Gene Information Note

  • Integration Table: if previous studies reported that target gene was altered by virus integration events, the overlap between VISs in this literature and Cistrome factors was listed in the "Target gene [gene] related to VIS" section

Immune Analysis Plot Note

  • Left: Heatmap of target gene expression and the level of various types of immune cells (cell type fractions) in all samples based on CIBERSORT method.
  • Right: Correlation of target gene expression and the level of various types of immune cells in virus positive samples (Pearson Correlation Coefficient).