|
Gene Information
|
Gene Name
|
EFNA5 |
|
Gene ID
|
1946
|
|
Gene Full Name
|
ephrin A5 |
|
Gene Alias
|
AF1; EFL5; RAGS; EPLG7; GLC1M; LERK7 |
|
Transcripts
|
ENSG00000184349
|
|
Virus
|
HBV |
|
Gene Type
|
protein coding |
|
HPA Location Info
|
Cytosol;Vesicles;
|
|
Membrane Info
|
Predicted membrane proteins |
|
HPA Protein Class Info
|
Cancer-related genes, Predicted membrane proteins, RAS pathway related proteins |
|
Gene Function
|
Suppressor gene
|
|
Uniport_ID
|
P52803
|
|
HGNC ID
|
HGNC:3225
|
|
VEGA ID
|
OTTHUMG00000128741
|
|
OMIM ID
|
601535 |
|
String ID
|
9606.ENSP00000328777
|
|
PharmGKB ID
|
PA27660
|
Target gene [EFNA5] related to VISs
| DVID |
Chromosome |
HM |
TFBS |
CA |
Sum of Overlapped Records |
Detail |
| 1002712 |
chr5 |
178 |
36 |
3 |
217 |
View |
| 1012996 |
chr5 |
4 |
1 |
1 |
6 |
View |
Relationship between gene expression and immune infiltrating cell level
| Data ID |
Disease |
Sample number |
Sample type |
|
GSE114783 (GEO) |
Chronic HBV (CHB) infection |
36 |
Chronic hepatitis B patients (HBV+)(10),Hepatocellular carcinoma (HBV+)(10),Liver cirrhosis(HBV+)(10),Normal(3),HBV carriers (3) |
|
GSE114783 (GEO) |
Hepatocellular carcinoma |
36 |
Chronic hepatitis B patients (HBV+)(10),Hepatocellular carcinoma (HBV+)(10),Liver cirrhosis(HBV+)(10),Normal(3),HBV carriers (3) |
|
GSE114783 (GEO) |
Liver cirrhosis |
36 |
Chronic hepatitis B patients (HBV+)(10),Hepatocellular carcinoma (HBV+)(10),Liver cirrhosis(HBV+)(10),Normal(3),HBV carriers (3) |
|
LIHC (TCGA) |
Liver hepatocellular carcinoma |
424 |
Liver hepatocellular carcinoma HCV (HBV+)(86), Liver hepatocellular carcinoma HCV (HBV-)(19), Liver hepatocellular carcinoma (HBV+)(209), Liver hepatocellular carcinoma (HBV+)(60), Paracancerous HCV (HBV+)(4), Paracancerous (HBV-)(28), Paracancerous (HBV+)(18) |
> Dataset: GSE114783
|
|
HeatMap of cell type fractions in all samples
|
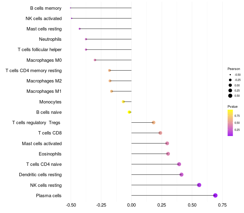
Lollipop of EFNA5 expression and immune infiltrating cell level correlation result in HBV+ Chronic HBV (CHB) infection samples
|
EFNA5 expression: Low -> High
|
|
|
Lollipop of EFNA5 expression and immune infiltrating cell level correlation result in HBV+ Liver cirrhosis samples
|
Lollipop of EFNA5 expression and immune infiltrating cell level correlation result in HBV+ Hepatocellular carcinoma samples
|
|
|
|
> Dataset: LIHC
|
|
HeatMap of cell type fractions in all samples
|
Lollipop of EFNA5 expression and immune infiltrating cell level correlation result in HBV+ samples
|
EFNA5 expression: Low -> High
|
|
|
|
|