EBV Target gene Detail Information

> ENTPD8 Gene Search Result


Gene Information
Gene Name ENTPD8
Gene ID 377841
Gene Full Name ectonucleoside triphosphate diphosphohydrolase 8
Gene Alias UNQ2492; GLSR2492; E-NTPDase; NTPDase-8
Transcripts ENSG00000188833
Virus EBV
Gene Type protein coding
HPA Location Info Cytosol;Nucleoplasm;Vesicles;
Membrane Info Predicted membrane proteins
HPA Protein Class Info Enzymes, Predicted intracellular proteins, Predicted membrane proteins
Uniport_ID Q5MY95
HGNC ID HGNC:24860
VEGA ID OTTHUMG00000131831
OMIM ID 616748
String ID 9606.ENSP00000360561
PharmGKB ID PA142671906
Target gene [ENTPD8] related to VISs
DVID Chromosome HM TFBS CA Sum of Overlapped Records Detail
3000468 chr9 11 6 17 View

Relationship between gene expression and immune infiltrating cell level
Data ID Disease Sample number Sample type
GSE102203 (GEO) B-cell lymphoma 9 Plasmablastic lymphomas (EBV+)(6), Plasmablastic lymphomas (EBV-)(3)
GSE135644 (GEO) Gastric carcinoma 10 Gastric adenocarcinoma cell line AGS (5), Gastric adenocarcinoma cell line AGS (EBV+)(5)
GSE45919 (GEO) Infectious mononucleosis 24 Infectious mononucleosis (IM)(EBV+)(3), Normal (9), Latent EBV (12)
GSE85599 (GEO) Infectious mononucleosis 17 Chronic active EBV infection (EBV+)(5), Acute infectious mononucleosis (EBV+)(6), Normal (6)
GSE58240 (GEO) Multiple sclerosis 32 Multiple sclerosis IFN-β treated (EBV+)(16), Multiple sclerosis untreated (EBV+)(16)

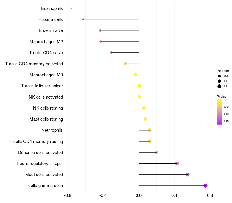
> Dataset: GSE102203

HeatMap of cell type fractions in all samples Lollipop of ENTPD8 expression and immune infiltrating cell level correlation result in EBV+ samples
ENTPD8 expression: Low -> High

> Dataset: GSE135644

HeatMap of cell type fractions in all samples Lollipop of ENTPD8 expression and immune infiltrating cell level correlation result in EBV+ samples
ENTPD8 expression: Low -> High

> Dataset: GSE45919

HeatMap of cell type fractions in all samples Lollipop of ENTPD8 expression and immune infiltrating cell level correlation result in EBV+ samples
ENTPD8 expression: Low -> High

> Dataset: GSE85599

HeatMap of cell type fractions in all samples Lollipop of ENTPD8 expression and immune infiltrating cell level correlation result in EBV+ samples
ENTPD8 expression: Low -> High

> Dataset: GSE58240

HeatMap of cell type fractions in all samples Lollipop of ENTPD8 expression and immune infiltrating cell level correlation result in EBV+ samples
ENTPD8 expression: Low -> High

Contents
Description

Gene Information Note

  • Integration Table: if previous studies reported that target gene was altered by virus integration events, the overlap between VISs in this literature and Cistrome factors was listed in the "Target gene [gene] related to VIS" section

Immune Analysis Plot Note

  • Left: Heatmap of target gene expression and the level of various types of immune cells (cell type fractions) in all samples based on CIBERSORT method.
  • Right: Correlation of target gene expression and the level of various types of immune cells in virus positive samples (Pearson Correlation Coefficient).