|
Gene Information
|
Gene Name
|
F13B |
|
Gene ID
|
2165
|
|
Gene Full Name
|
coagulation factor XIII B chain |
|
Gene Alias
|
FXIIIB |
|
Transcripts
|
ENSG00000143278
|
|
Virus
|
HBV |
|
Gene Type
|
protein coding |
|
HPA Location Info
|
|
|
HPA Protein Class Info
|
Cancer-related genes, Candidate cardiovascular disease genes, Disease related genes, Plasma proteins, Predicted secreted proteins |
|
Uniport_ID
|
P05160
|
|
HGNC ID
|
HGNC:3534
|
|
VEGA ID
|
OTTHUMG00000036519
|
|
OMIM ID
|
134580 |
|
String ID
|
9606.ENSP00000356382
|
|
Drugbank ID
|
BE0009000
|
|
PharmGKB ID
|
PA27944
|
Target gene [F13B] related to VISs
| DVID |
Chromosome |
HM |
TFBS |
CA |
Sum of Overlapped Records |
Detail |
| 1002660 |
chr17 |
39 |
125 |
64 |
228 |
View |
| 1400049 |
chr1 |
22 |
1 |
|
23 |
View |
Relationship between gene expression and immune infiltrating cell level
| Data ID |
Disease |
Sample number |
Sample type |
|
LIHC (TCGA) |
Liver hepatocellular carcinoma |
424 |
Liver hepatocellular carcinoma HCV (HBV+)(86), Liver hepatocellular carcinoma HCV (HBV-)(19), Liver hepatocellular carcinoma (HBV+)(209), Liver hepatocellular carcinoma (HBV+)(60), Paracancerous HCV (HBV+)(4), Paracancerous (HBV-)(28), Paracancerous (HBV+)(18) |
> Dataset: LIHC
|
|
HeatMap of cell type fractions in all samples
|
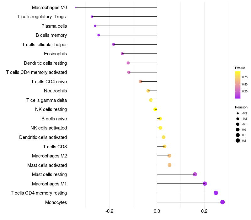
Lollipop of F13B expression and immune infiltrating cell level correlation result in HBV+ samples
|
F13B expression: Low -> High
|
|
|
|
|