HTLV1 Target gene Detail Information

> FH Gene Search Result


Gene Information
Gene Name FH
Gene ID 2271
Gene Full Name fumarate hydratase
Gene Alias MCL; FMRD; LRCC; HLRCC; MCUL1
Transcripts ENSG00000091483
Virus HTLV1
Gene Type protein coding
HPA Location Info Mitochondria;
HPA Protein Class Info Cancer-related genes, Citric acid cycle related proteins, Disease related genes, Enzymes, Plasma proteins, Potential drug targets, Predicted intracellular proteins
Gene Function Suppressor gene
Uniport_ID P07954
HGNC ID HGNC:3700
VEGA ID OTTHUMG00000039597
OMIM ID 136850
String ID 9606.ENSP00000355518
PharmGKB ID PA28139
Target gene [FH] related to VISs
DVID Chromosome HM TFBS CA Sum of Overlapped Records Detail
6009661 chr1 10 6 19 35 View
6009662 chr1 10 6 19 35 View
6009663 chr1 10 6 19 35 View
6009664 chr1 10 6 19 35 View
6014282 chr22 15 2 17 View
6027440 chr1 1 1 2 View

Relationship between gene expression and immune infiltrating cell level
Data ID Disease Sample number Sample type
GSE55851 (GEO) Adult T-cell leukemia 21 Normal (3), Asymptomatic carriers (HTLV1+)(6), Adult T-cell Leukemia-lymphoma (HTLV1+)(12)
GSE29312 (GEO) HTLV-1 associated myelopathy 39 Normal (9), Asymptomatic carriers (HTLV1+)(20), HTLV-1-associated myelopathy (HTLV1+)(10)
GSE29332 (GEO) HTLV-1 associated myelopathy 35 Normal (8), Asymptomatic carriers (HTLV1+)(17), HTLV-1-associated myelopathy (HTLV1+)(10)

> Dataset: GSE55851

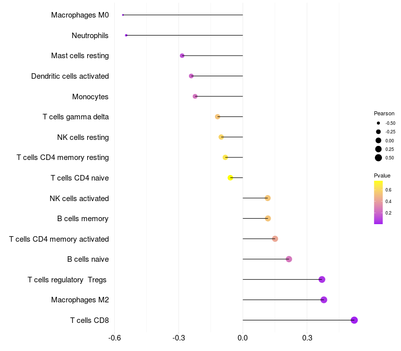
HeatMap of cell type fractions in all samples Lollipop of FH expression and immune infiltrating cell level correlation result in HTLV1+ samples
FH expression: Low -> High

> Dataset: GSE29312

HeatMap of cell type fractions in all samples Lollipop of FH expression and immune infiltrating cell level correlation result in HTLV1+ samples
FH expression: Low -> High

> Dataset: GSE29332

HeatMap of cell type fractions in all samples Lollipop of FH expression and immune infiltrating cell level correlation result in HTLV1+ samples
FH expression: Low -> High

Contents
Description

Gene Information Note

  • Integration Table: if previous studies reported that target gene was altered by virus integration events, the overlap between VISs in this literature and Cistrome factors was listed in the "Target gene [gene] related to VIS" section

Immune Analysis Plot Note

  • Left: Heatmap of target gene expression and the level of various types of immune cells (cell type fractions) in all samples based on CIBERSORT method.
  • Right: Correlation of target gene expression and the level of various types of immune cells in virus positive samples (Pearson Correlation Coefficient).