HTLV1 Target gene Detail Information

> FLJ40288 Gene Search Result


Gene Information
Gene Name FLJ40288
Gene ID 286023
Gene Full Name uncharacterized FLJ40288
Transcripts ENSG00000183470
Virus HTLV1
Gene Type ncRNA
HPA Location Info
Target gene [FLJ40288] related to VISs
DVID Chromosome HM TFBS CA Sum of Overlapped Records Detail
6000597 chr7 911 124 120 1155 View

Relationship between gene expression and immune infiltrating cell level
Data ID Disease Sample number Sample type
GSE29312 (GEO) HTLV-1 associated myelopathy 39 Normal (9), Asymptomatic carriers (HTLV1+)(20), HTLV-1-associated myelopathy (HTLV1+)(10)
GSE29332 (GEO) HTLV-1 associated myelopathy 35 Normal (8), Asymptomatic carriers (HTLV1+)(17), HTLV-1-associated myelopathy (HTLV1+)(10)

> Dataset: GSE29312

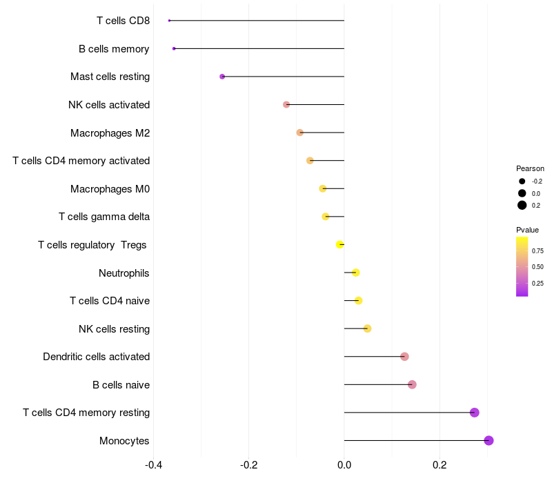
HeatMap of cell type fractions in all samples Lollipop of FLJ40288 expression and immune infiltrating cell level correlation result in HTLV1+ samples
FLJ40288 expression: Low -> High

> Dataset: GSE29332

HeatMap of cell type fractions in all samples Lollipop of FLJ40288 expression and immune infiltrating cell level correlation result in HTLV1+ samples
FLJ40288 expression: Low -> High

Contents
Description

Gene Information Note

  • Integration Table: if previous studies reported that target gene was altered by virus integration events, the overlap between VISs in this literature and Cistrome factors was listed in the "Target gene [gene] related to VIS" section

Immune Analysis Plot Note

  • Left: Heatmap of target gene expression and the level of various types of immune cells (cell type fractions) in all samples based on CIBERSORT method.
  • Right: Correlation of target gene expression and the level of various types of immune cells in virus positive samples (Pearson Correlation Coefficient).