|
Gene Information
|
Gene Name
|
IL1R2 |
|
Gene ID
|
7850
|
|
Gene Full Name
|
interleukin 1 receptor type 2 |
|
Gene Alias
|
IL1RB; CD121b; IL1R2c; CDw121b; IL-1R-2; IL-1RT2; IL-1RT-2 |
|
Transcripts
|
ENSG00000115590
|
|
Virus
|
HTLV1 |
|
Gene Type
|
protein coding |
|
HPA Location Info
|
|
|
Membrane Info
|
Predicted membrane proteins |
|
HPA Protein Class Info
|
Cancer-related genes, CD markers, Plasma proteins, Predicted membrane proteins, Predicted secreted proteins |
|
Uniport_ID
|
P27930
|
|
HGNC ID
|
HGNC:5994
|
|
VEGA ID
|
OTTHUMG00000130695
|
|
OMIM ID
|
147811 |
|
String ID
|
9606.ENSP00000330959
|
|
PharmGKB ID
|
PA29810
|
Target gene [IL1R2] related to VISs
| DVID |
Chromosome |
HM |
TFBS |
CA |
Sum of Overlapped Records |
Detail |
| 6002407 |
chr2 |
162 |
72 |
12 |
246 |
View |
| 6008984 |
chr2 |
31 |
|
9 |
40 |
View |
Relationship between gene expression and immune infiltrating cell level
| Data ID |
Disease |
Sample number |
Sample type |
|
GSE55851 (GEO) |
Adult T-cell leukemia |
21 |
Normal (3), Asymptomatic carriers (HTLV1+)(6), Adult T-cell Leukemia-lymphoma (HTLV1+)(12) |
|
GSE29312 (GEO) |
HTLV-1 associated myelopathy |
39 |
Normal (9), Asymptomatic carriers (HTLV1+)(20), HTLV-1-associated myelopathy (HTLV1+)(10) |
|
GSE29332 (GEO) |
HTLV-1 associated myelopathy |
35 |
Normal (8), Asymptomatic carriers (HTLV1+)(17), HTLV-1-associated myelopathy (HTLV1+)(10) |
> Dataset: GSE55851
|
|
HeatMap of cell type fractions in all samples
|
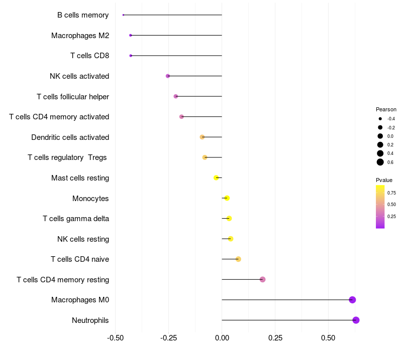
Lollipop of IL1R2 expression and immune infiltrating cell level correlation result in HTLV1+ samples
|
IL1R2 expression: Low -> High
|
|
|
> Dataset: GSE29312
|
|
HeatMap of cell type fractions in all samples
|
Lollipop of IL1R2 expression and immune infiltrating cell level correlation result in HTLV1+ samples
|
IL1R2 expression: Low -> High
|
|
|
> Dataset: GSE29332
|
|
HeatMap of cell type fractions in all samples
|
Lollipop of IL1R2 expression and immune infiltrating cell level correlation result in HTLV1+ samples
|
IL1R2 expression: Low -> High
|
|
|
|
|