HTLV1 Target gene Detail Information

> INPP5A Gene Search Result


Gene Information
Gene Name INPP5A
Gene ID 3632
Gene Full Name inositol polyphosphate-5-phosphatase A
Gene Alias 5PTASE
Transcripts ENSG00000068383
Virus HTLV1
Gene Type protein coding
HPA Location Info Cytosol;Plasma membrane;
HPA Protein Class Info Enzymes, Predicted intracellular proteins
Uniport_ID Q14642
HGNC ID HGNC:6076
VEGA ID OTTHUMG00000019293
OMIM ID 600106
String ID 9606.ENSP00000357583
PharmGKB ID PA29884
Target gene [INPP5A] related to VISs
DVID Chromosome HM TFBS CA Sum of Overlapped Records Detail
6006061 chr10 58 13 4 75 View
6010657 chr10 25 4 29 View
6013325 chr10 12 7 19 View
6014869 chr10 12 3 15 View
6017131 chr10 10 1 11 View

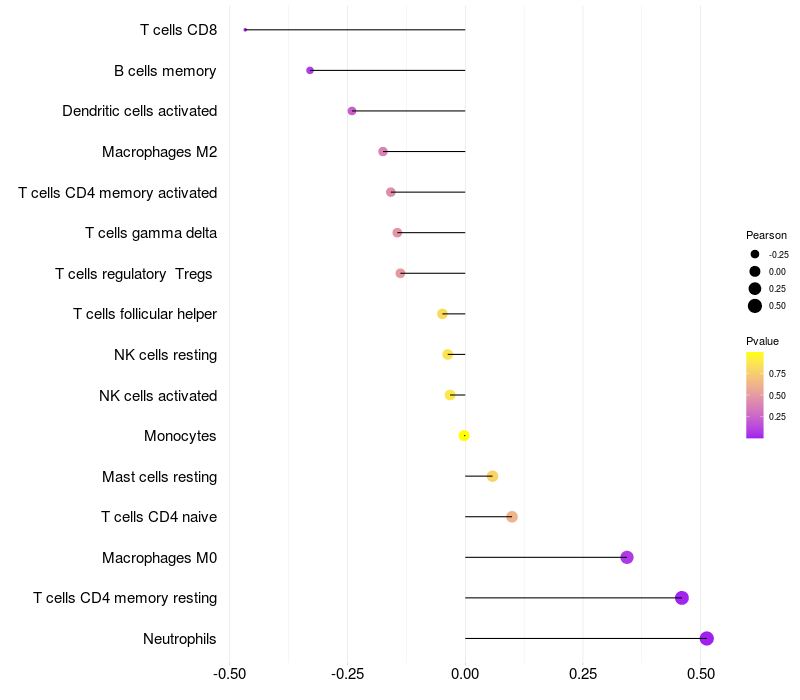
Relationship between gene expression and immune infiltrating cell level
Data ID Disease Sample number Sample type
GSE55851 (GEO) Adult T-cell leukemia 21 Normal (3), Asymptomatic carriers (HTLV1+)(6), Adult T-cell Leukemia-lymphoma (HTLV1+)(12)
GSE29312 (GEO) HTLV-1 associated myelopathy 39 Normal (9), Asymptomatic carriers (HTLV1+)(20), HTLV-1-associated myelopathy (HTLV1+)(10)
GSE29332 (GEO) HTLV-1 associated myelopathy 35 Normal (8), Asymptomatic carriers (HTLV1+)(17), HTLV-1-associated myelopathy (HTLV1+)(10)

> Dataset: GSE55851

HeatMap of cell type fractions in all samples Lollipop of INPP5A expression and immune infiltrating cell level correlation result in HTLV1+ samples
INPP5A expression: Low -> High

> Dataset: GSE29312

HeatMap of cell type fractions in all samples Lollipop of INPP5A expression and immune infiltrating cell level correlation result in HTLV1+ samples
INPP5A expression: Low -> High

> Dataset: GSE29332

HeatMap of cell type fractions in all samples Lollipop of INPP5A expression and immune infiltrating cell level correlation result in HTLV1+ samples
INPP5A expression: Low -> High

Contents
Description

Gene Information Note

  • Integration Table: if previous studies reported that target gene was altered by virus integration events, the overlap between VISs in this literature and Cistrome factors was listed in the "Target gene [gene] related to VIS" section

Immune Analysis Plot Note

  • Left: Heatmap of target gene expression and the level of various types of immune cells (cell type fractions) in all samples based on CIBERSORT method.
  • Right: Correlation of target gene expression and the level of various types of immune cells in virus positive samples (Pearson Correlation Coefficient).