|
Gene Information
|
Gene Name
|
ITGB2 |
|
Gene ID
|
3689
|
|
Gene Full Name
|
integrin subunit beta 2 |
|
Gene Alias
|
LAD; CD18; MF17; MFI7; LCAMB; LFA-1; MAC-1 |
|
Transcripts
|
ENSG00000160255
|
|
Virus
|
HTLV1 |
|
Gene Type
|
protein coding |
|
HPA Location Info
|
Plasma membrane;Rods & Rings;
|
|
Membrane Info
|
Predicted membrane proteins |
|
HPA Protein Class Info
|
CD markers, Disease related genes, Plasma proteins, Predicted intracellular proteins, Predicted membrane proteins |
|
Uniport_ID
|
P05107
|
|
HGNC ID
|
HGNC:6155
|
|
VEGA ID
|
OTTHUMG00000090257
|
|
OMIM ID
|
600065 |
|
String ID
|
9606.ENSP00000380948
|
|
PharmGKB ID
|
PA29955
|
Target gene [ITGB2] related to VISs
| DVID |
Chromosome |
HM |
TFBS |
CA |
Sum of Overlapped Records |
Detail |
| 6020498 |
chr21 |
7 |
|
|
7 |
View |
Relationship between gene expression and immune infiltrating cell level
| Data ID |
Disease |
Sample number |
Sample type |
|
GSE55851 (GEO) |
Adult T-cell leukemia |
21 |
Normal (3), Asymptomatic carriers (HTLV1+)(6), Adult T-cell Leukemia-lymphoma (HTLV1+)(12) |
|
GSE29312 (GEO) |
HTLV-1 associated myelopathy |
39 |
Normal (9), Asymptomatic carriers (HTLV1+)(20), HTLV-1-associated myelopathy (HTLV1+)(10) |
|
GSE29332 (GEO) |
HTLV-1 associated myelopathy |
35 |
Normal (8), Asymptomatic carriers (HTLV1+)(17), HTLV-1-associated myelopathy (HTLV1+)(10) |
> Dataset: GSE55851
|
|
HeatMap of cell type fractions in all samples
|
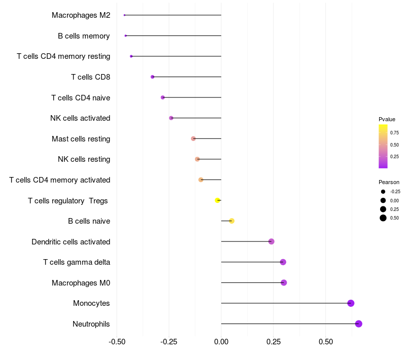
Lollipop of ITGB2 expression and immune infiltrating cell level correlation result in HTLV1+ samples
|
ITGB2 expression: Low -> High
|
|
|
> Dataset: GSE29312
|
|
HeatMap of cell type fractions in all samples
|
Lollipop of ITGB2 expression and immune infiltrating cell level correlation result in HTLV1+ samples
|
ITGB2 expression: Low -> High
|
|
|
> Dataset: GSE29332
|
|
HeatMap of cell type fractions in all samples
|
Lollipop of ITGB2 expression and immune infiltrating cell level correlation result in HTLV1+ samples
|
ITGB2 expression: Low -> High
|
|
|
|
|