HPV Target gene Detail Information

> JAKMIP2-AS1 Gene Search Result


Gene Information
Gene Name JAKMIP2-AS1
Gene ID 153469
Gene Full Name JAKMIP2 antisense RNA 1
Transcripts ENSG00000280780
Virus HPV
Gene Type ncRNA
HPA Location Info
HGNC ID HGNC:27203
VEGA ID OTTHUMG00000189513
lncRNASNP2 ID NONHSAG041867.2
Target gene [JAKMIP2-AS1] related to VISs
DVID Chromosome HM TFBS CA Sum of Overlapped Records Detail
5403556 chr5 3 7 10 View

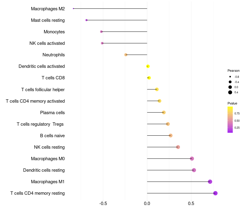
Relationship between gene expression and immune infiltrating cell level
Data ID Disease Sample number Sample type
GSE140662 (GEO) Condyloma Acuminatum 8 Condyloma acuminata (HPV+)(5), Skin(3)

> Dataset: GSE140662

HeatMap of cell type fractions in all samples Lollipop of JAKMIP2-AS1 expression and immune infiltrating cell level correlation result in HPV+ samples
JAKMIP2-AS1 expression: Low -> High

Contents
Description

Gene Information Note

  • Integration Table: if previous studies reported that target gene was altered by virus integration events, the overlap between VISs in this literature and Cistrome factors was listed in the "Target gene [gene] related to VIS" section

Immune Analysis Plot Note

  • Left: Heatmap of target gene expression and the level of various types of immune cells (cell type fractions) in all samples based on CIBERSORT method.
  • Right: Correlation of target gene expression and the level of various types of immune cells in virus positive samples (Pearson Correlation Coefficient).