HPV Target gene Detail Information

> KLHL4 Gene Search Result


Gene Information
Gene Name KLHL4
Gene ID 56062
Gene Full Name kelch like family member 4
Gene Alias KHL4; DKELCHL
Transcripts ENSG00000102271
Virus HPV
Gene Type protein coding
HPA Location Info Microtubules;Centriolar satellite;
HPA Protein Class Info Predicted intracellular proteins
Uniport_ID Q9C0H6
HGNC ID HGNC:6355
VEGA ID OTTHUMG00000021946
OMIM ID 300348
String ID 9606.ENSP00000362206
PharmGKB ID PA30145
Target gene [KLHL4] related to VISs
DVID Chromosome HM TFBS CA Sum of Overlapped Records Detail
5200805 chrX 2 2 View
5201145 chrX 0 View

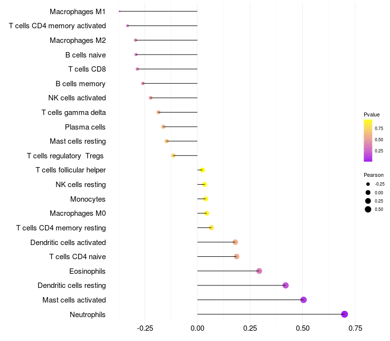
Relationship between gene expression and immune infiltrating cell level
Data ID Disease Sample number Sample type
GSE140662 (GEO) Condyloma Acuminatum 8 Condyloma acuminata (HPV+)(5), Skin(3)
GSE65858 (GEO) Head and neck squamous cell carcinoma 270 Head and neck squamous cell carcinoma (EBV+)(73), Head and neck squamous cell carcinoma (EBV-)(197)
GSE55546 (GEO) Oropharyngeal squamous cell carcinoma 16 Oropharyngeal cancers (HPV+)(12), Normal (4)
GSE55544 (GEO) Oropharyngeal squamous cell carcinoma 23 Oropharyngeal cancers HPV Active (11), Oropharyngeal cancers HPV Inactive (4), Oropharyngeal cancers HPV Negative (8)
GSE55542 (GEO) Oropharyngeal squamous cell carcinoma 36 Oropharyngeal cancers HPV Active (12), Oropharyngeal cancers HPV Inactive (8), Oropharyngeal cancers HPV Negative (16)
GSE51993 (GEO) Cervical intraepithelial neoplasia 24 Cervical intraepithelial neoplasia (HPV+)(17), Normal(7)
HNSC (TCGA) Head and Neck squamous cell carcinoma 566 Head and Neck squamous cell carcinoma(HPV-)(483),Head and Neck squamous cell carcinoma(HPV+)(39),Paracancerous(HPV-)(44)

> Dataset: GSE140662

HeatMap of cell type fractions in all samples Lollipop of KLHL4 expression and immune infiltrating cell level correlation result in HPV+ samples
KLHL4 expression: Low -> High

> Dataset: GSE65858

HeatMap of cell type fractions in all samples Lollipop of KLHL4 expression and immune infiltrating cell level correlation result in HPV+ samples
KLHL4 expression: Low -> High

> Dataset: GSE55546

HeatMap of cell type fractions in all samples Lollipop of KLHL4 expression and immune infiltrating cell level correlation result in HPV+ samples
KLHL4 expression: Low -> High

> Dataset: GSE55544

HeatMap of cell type fractions in all samples Lollipop of KLHL4 expression and immune infiltrating cell level correlation result in HPV+ samples
KLHL4 expression: Low -> High

> Dataset: GSE55542

HeatMap of cell type fractions in all samples Lollipop of KLHL4 expression and immune infiltrating cell level correlation result in HPV+ samples
KLHL4 expression: Low -> High

> Dataset: GSE51993

HeatMap of cell type fractions in all samples Lollipop of KLHL4 expression and immune infiltrating cell level correlation result in HPV+ samples
KLHL4 expression: Low -> High

> Dataset: HNSC

HeatMap of cell type fractions in all samples Lollipop of KLHL4 expression and immune infiltrating cell level correlation result in HPV+ samples
KLHL4 expression: Low -> High

Contents
Description

Gene Information Note

  • Integration Table: if previous studies reported that target gene was altered by virus integration events, the overlap between VISs in this literature and Cistrome factors was listed in the "Target gene [gene] related to VIS" section

Immune Analysis Plot Note

  • Left: Heatmap of target gene expression and the level of various types of immune cells (cell type fractions) in all samples based on CIBERSORT method.
  • Right: Correlation of target gene expression and the level of various types of immune cells in virus positive samples (Pearson Correlation Coefficient).