EBV Target gene Detail Information

> LINC00955 Gene Search Result


Gene Information
Gene Name LINC00955
Gene ID 285492
Virus EBV
Gene Type ncRNA
HGNC ID HGNC:26644
lncRNASNP2 ID NONHSAG037346.2
Target gene [LINC00955] related to VISs
DVID Chromosome HM TFBS CA Sum of Overlapped Records Detail
3001066 chr4 0 View

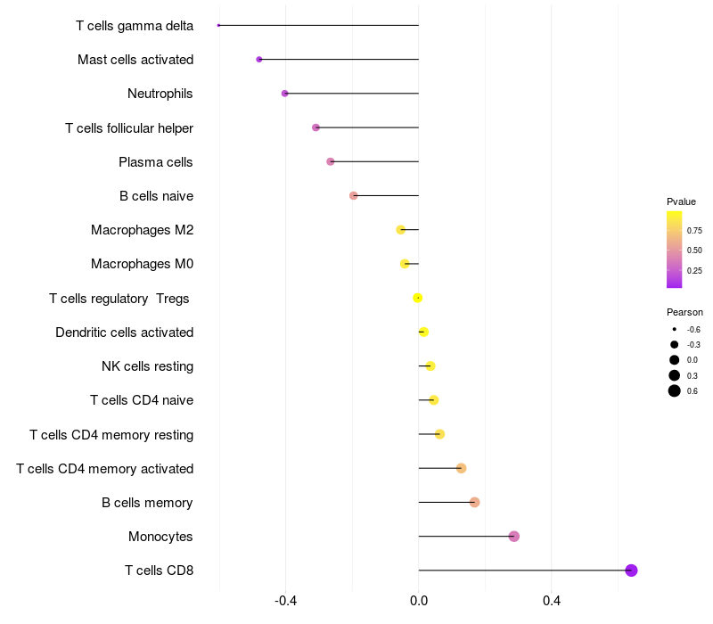
Relationship between gene expression and immune infiltrating cell level
Data ID Disease Sample number Sample type
GSE102203 (GEO) B-cell lymphoma 9 Plasmablastic lymphomas (EBV+)(6), Plasmablastic lymphomas (EBV-)(3)
GSE42867 (GEO) Burkitt lymphoma 12 Burkitt lymphoma cell line Awia (EBV+)(12)
GSE85599 (GEO) Infectious mononucleosis 17 Chronic active EBV infection (EBV+)(5), Acute infectious mononucleosis (EBV+)(6), Normal (6)
GSE12452 (GEO) Nasopharyngeal carcinoma 41 Nasopharyngeal carcinoma (EBV+)(31), Normal(10)

> Dataset: GSE102203

HeatMap of cell type fractions in all samples Lollipop of LINC00955 expression and immune infiltrating cell level correlation result in EBV+ samples
LINC00955 expression: Low -> High

> Dataset: GSE42867

HeatMap of cell type fractions in all samples Lollipop of LINC00955 expression and immune infiltrating cell level correlation result in EBV+ samples
LINC00955 expression: Low -> High

> Dataset: GSE85599

HeatMap of cell type fractions in all samples Lollipop of LINC00955 expression and immune infiltrating cell level correlation result in EBV+ samples
LINC00955 expression: Low -> High

> Dataset: GSE12452

HeatMap of cell type fractions in all samples Lollipop of LINC00955 expression and immune infiltrating cell level correlation result in EBV+ samples
LINC00955 expression: Low -> High

Contents
Description

Gene Information Note

  • Integration Table: if previous studies reported that target gene was altered by virus integration events, the overlap between VISs in this literature and Cistrome factors was listed in the "Target gene [gene] related to VIS" section

Immune Analysis Plot Note

  • Left: Heatmap of target gene expression and the level of various types of immune cells (cell type fractions) in all samples based on CIBERSORT method.
  • Right: Correlation of target gene expression and the level of various types of immune cells in virus positive samples (Pearson Correlation Coefficient).