HPV Target gene Detail Information

> LINC00963 Gene Search Result


Gene Information
Gene Name LINC00963
Gene ID 100506190
Gene Alias MetaLnc9
Virus HPV
Gene Type ncRNA
HGNC ID HGNC:48716
lncRNASNP2 ID NONHSAG053586.2
Target gene [LINC00963] related to VISs
DVID Chromosome HM TFBS CA Sum of Overlapped Records Detail
5000053 chr9 3581 2502 1349 7432 View

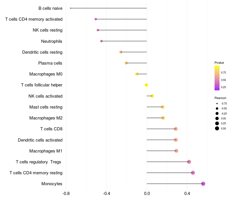
Relationship between gene expression and immune infiltrating cell level
Data ID Disease Sample number Sample type
GSE140662 (GEO) Condyloma Acuminatum 8 Condyloma acuminata (HPV+)(5), Skin(3)

> Dataset: GSE140662

HeatMap of cell type fractions in all samples Lollipop of LINC00963 expression and immune infiltrating cell level correlation result in HPV+ samples
LINC00963 expression: Low -> High

Contents
Description

Gene Information Note

  • Integration Table: if previous studies reported that target gene was altered by virus integration events, the overlap between VISs in this literature and Cistrome factors was listed in the "Target gene [gene] related to VIS" section

Immune Analysis Plot Note

  • Left: Heatmap of target gene expression and the level of various types of immune cells (cell type fractions) in all samples based on CIBERSORT method.
  • Right: Correlation of target gene expression and the level of various types of immune cells in virus positive samples (Pearson Correlation Coefficient).