HPV Target gene Detail Information

> LOC285000 Gene Search Result


Gene Information
Gene Name LOC285000
Gene ID 285000
Gene Full Name uncharacterized LOC285000
Virus HPV
Gene Type ncRNA
Target gene [LOC285000] related to VISs
DVID Chromosome HM TFBS CA Sum of Overlapped Records Detail
5404047 chr2 8 7 15 View
5404048 chr2 21 26 47 View

Relationship between gene expression and immune infiltrating cell level
Data ID Disease Sample number Sample type
GSE140662 (GEO) Condyloma Acuminatum 8 Condyloma acuminata (HPV+)(5), Skin(3)
GSE55546 (GEO) Oropharyngeal squamous cell carcinoma 16 Oropharyngeal cancers (HPV+)(12), Normal (4)
GSE55544 (GEO) Oropharyngeal squamous cell carcinoma 23 Oropharyngeal cancers HPV Active (11), Oropharyngeal cancers HPV Inactive (4), Oropharyngeal cancers HPV Negative (8)
GSE55542 (GEO) Oropharyngeal squamous cell carcinoma 36 Oropharyngeal cancers HPV Active (12), Oropharyngeal cancers HPV Inactive (8), Oropharyngeal cancers HPV Negative (16)

> Dataset: GSE140662

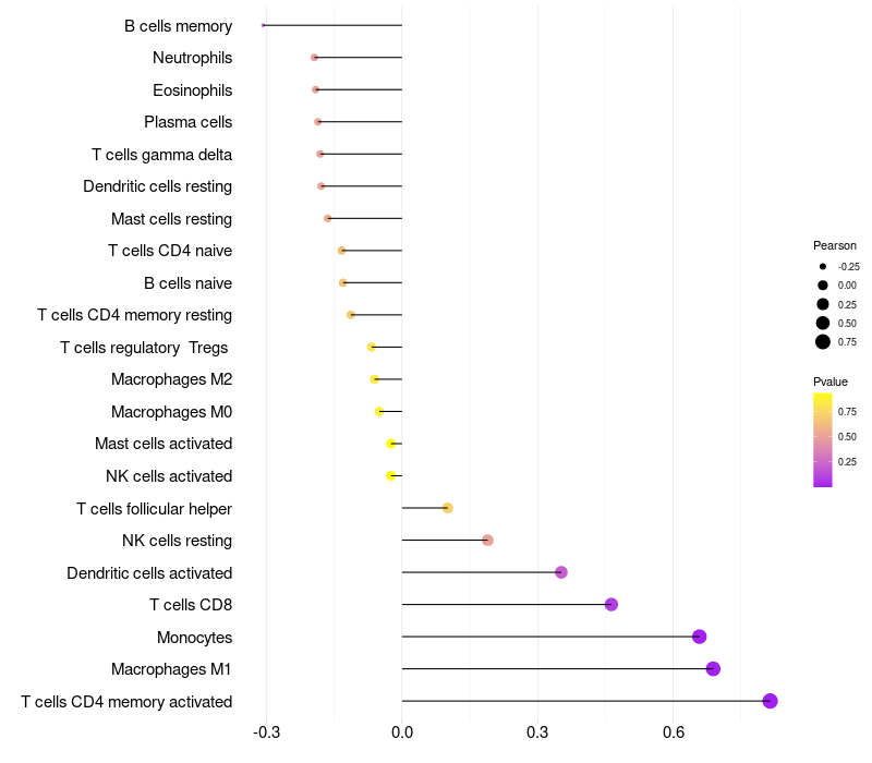
HeatMap of cell type fractions in all samples Lollipop of LOC285000 expression and immune infiltrating cell level correlation result in HPV+ samples
LOC285000 expression: Low -> High

> Dataset: GSE55546

HeatMap of cell type fractions in all samples Lollipop of LOC285000 expression and immune infiltrating cell level correlation result in HPV+ samples
LOC285000 expression: Low -> High

> Dataset: GSE55544

HeatMap of cell type fractions in all samples Lollipop of LOC285000 expression and immune infiltrating cell level correlation result in HPV+ samples
LOC285000 expression: Low -> High

> Dataset: GSE55542

HeatMap of cell type fractions in all samples Lollipop of LOC285000 expression and immune infiltrating cell level correlation result in HPV+ samples
LOC285000 expression: Low -> High

Contents
Description

Gene Information Note

  • Integration Table: if previous studies reported that target gene was altered by virus integration events, the overlap between VISs in this literature and Cistrome factors was listed in the "Target gene [gene] related to VIS" section

Immune Analysis Plot Note

  • Left: Heatmap of target gene expression and the level of various types of immune cells (cell type fractions) in all samples based on CIBERSORT method.
  • Right: Correlation of target gene expression and the level of various types of immune cells in virus positive samples (Pearson Correlation Coefficient).