HTLV1 Target gene Detail Information

> LOC442028 Gene Search Result


Gene Information
Gene Name LOC442028
Gene ID 442028
Gene Full Name uncharacterized LOC442028
Transcripts ENSG00000259848
Virus HTLV1
Gene Type ncRNA
HPA Location Info
Target gene [LOC442028] related to VISs
DVID Chromosome HM TFBS CA Sum of Overlapped Records Detail
6008852 chr2 41 41 View
6011084 chr2 23 5 28 View
6017119 chr2 9 2 11 View
6028557 chr2 1 1 View
6032471 chr2 0 View

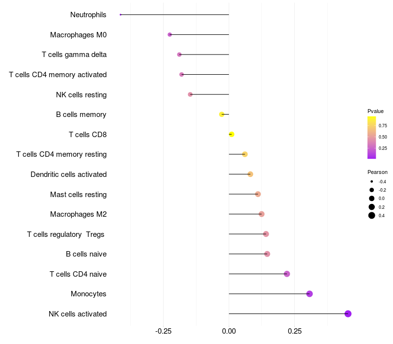
Relationship between gene expression and immune infiltrating cell level
Data ID Disease Sample number Sample type
GSE29312 (GEO) HTLV-1 associated myelopathy 39 Normal (9), Asymptomatic carriers (HTLV1+)(20), HTLV-1-associated myelopathy (HTLV1+)(10)

> Dataset: GSE29312

HeatMap of cell type fractions in all samples Lollipop of LOC442028 expression and immune infiltrating cell level correlation result in HTLV1+ samples
LOC442028 expression: Low -> High

Contents
Description

Gene Information Note

  • Integration Table: if previous studies reported that target gene was altered by virus integration events, the overlap between VISs in this literature and Cistrome factors was listed in the "Target gene [gene] related to VIS" section

Immune Analysis Plot Note

  • Left: Heatmap of target gene expression and the level of various types of immune cells (cell type fractions) in all samples based on CIBERSORT method.
  • Right: Correlation of target gene expression and the level of various types of immune cells in virus positive samples (Pearson Correlation Coefficient).