|
Gene Information
|
Gene Name
|
MAP2K1 |
|
Gene ID
|
5604
|
|
Gene Full Name
|
mitogen-activated protein kinase kinase 1 |
|
Gene Alias
|
CFC3; MEK1; MKK1; MAPKK1; PRKMK1 |
|
Transcripts
|
ENSG00000169032
|
|
Virus
|
HBV |
|
Gene Type
|
protein coding |
|
HPA Location Info
|
Cytosol;Plasma membrane;
|
|
HPA Protein Class Info
|
Cancer-related genes, Disease related genes, Enzymes, FDA approved drug targets, Predicted intracellular proteins, RAS pathway related proteins |
|
Uniport_ID
|
Q02750
|
|
HGNC ID
|
HGNC:6840
|
|
VEGA ID
|
OTTHUMG00000133196
|
|
OMIM ID
|
176872 |
|
String ID
|
9606.ENSP00000302486
|
|
Drugbank ID
|
BE0000870
|
|
Drug (Cytoscape Annotation)
|
Trametinib;Cobimetinib;Sunitinib Malate;Bosutinib;Dasatinib |
|
PharmGKB ID
|
PA30584
|
|
FDA Approved Drug
|
Binimetinib |
Target gene [MAP2K1] related to VISs
| DVID |
Chromosome |
HM |
TFBS |
CA |
Sum of Overlapped Records |
Detail |
| 1003623 |
chr15 |
7 |
109 |
5 |
121 |
View |
| 1006889 |
chr15 |
15 |
12 |
6 |
33 |
View |
| 1018371 |
chr15 |
|
|
|
0 |
View |
Relationship between gene expression and immune infiltrating cell level
| Data ID |
Disease |
Sample number |
Sample type |
|
GSE114783 (GEO) |
Chronic HBV (CHB) infection |
36 |
Chronic hepatitis B patients (HBV+)(10),Hepatocellular carcinoma (HBV+)(10),Liver cirrhosis(HBV+)(10),Normal(3),HBV carriers (3) |
|
GSE114783 (GEO) |
Hepatocellular carcinoma |
36 |
Chronic hepatitis B patients (HBV+)(10),Hepatocellular carcinoma (HBV+)(10),Liver cirrhosis(HBV+)(10),Normal(3),HBV carriers (3) |
|
GSE114783 (GEO) |
Liver cirrhosis |
36 |
Chronic hepatitis B patients (HBV+)(10),Hepatocellular carcinoma (HBV+)(10),Liver cirrhosis(HBV+)(10),Normal(3),HBV carriers (3) |
|
LIHC (TCGA) |
Liver hepatocellular carcinoma |
424 |
Liver hepatocellular carcinoma HCV (HBV+)(86), Liver hepatocellular carcinoma HCV (HBV-)(19), Liver hepatocellular carcinoma (HBV+)(209), Liver hepatocellular carcinoma (HBV+)(60), Paracancerous HCV (HBV+)(4), Paracancerous (HBV-)(28), Paracancerous (HBV+)(18) |
> Dataset: GSE114783
|
|
HeatMap of cell type fractions in all samples
|
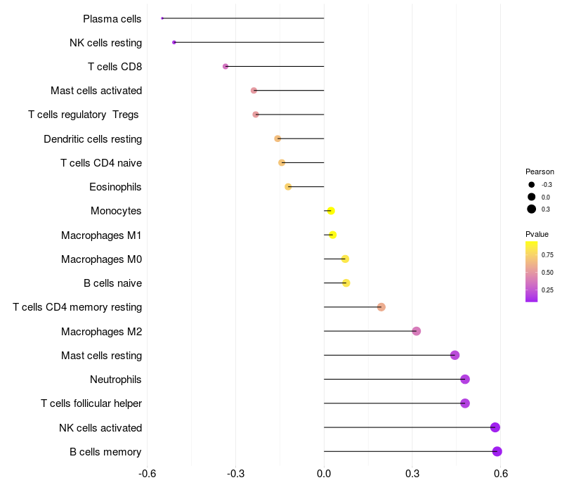
Lollipop of MAP2K1 expression and immune infiltrating cell level correlation result in HBV+ Chronic HBV (CHB) infection samples
|
MAP2K1 expression: Low -> High
|
|
|
Lollipop of MAP2K1 expression and immune infiltrating cell level correlation result in HBV+ Liver cirrhosis samples
|
Lollipop of MAP2K1 expression and immune infiltrating cell level correlation result in HBV+ Hepatocellular carcinoma samples
|
|
|
|
> Dataset: LIHC
|
|
HeatMap of cell type fractions in all samples
|
Lollipop of MAP2K1 expression and immune infiltrating cell level correlation result in HBV+ samples
|
MAP2K1 expression: Low -> High
|
|
|
|
|