HPV Target gene Detail Information

> MC2R Gene Search Result


Gene Information
Gene Name MC2R
Gene ID 4158
Gene Full Name melanocortin 2 receptor
Gene Alias ACTHR
Transcripts ENSG00000185231
Virus HPV
Gene Type protein coding
HPA Location Info
Membrane Info Predicted membrane proteins
HPA Protein Class Info Disease related genes, FDA approved drug targets, G-protein coupled receptors, Predicted membrane proteins, Transporters
Uniport_ID Q01718
HGNC ID HGNC:6930
VEGA ID OTTHUMG00000131721
OMIM ID 607397
String ID 9606.ENSP00000333821
Drugbank ID BE0000848
PharmGKB ID PA30674
Target gene [MC2R] related to VISs
DVID Chromosome HM TFBS CA Sum of Overlapped Records Detail
5403789 chr18 49 11 60 View

Relationship between gene expression and immune infiltrating cell level
Data ID Disease Sample number Sample type
GSE140662 (GEO) Condyloma Acuminatum 8 Condyloma acuminata (HPV+)(5), Skin(3)
GSE55546 (GEO) Oropharyngeal squamous cell carcinoma 16 Oropharyngeal cancers (HPV+)(12), Normal (4)
GSE55544 (GEO) Oropharyngeal squamous cell carcinoma 23 Oropharyngeal cancers HPV Active (11), Oropharyngeal cancers HPV Inactive (4), Oropharyngeal cancers HPV Negative (8)
GSE55542 (GEO) Oropharyngeal squamous cell carcinoma 36 Oropharyngeal cancers HPV Active (12), Oropharyngeal cancers HPV Inactive (8), Oropharyngeal cancers HPV Negative (16)
GSE51993 (GEO) Cervical intraepithelial neoplasia 24 Cervical intraepithelial neoplasia (HPV+)(17), Normal(7)
HNSC (TCGA) Head and Neck squamous cell carcinoma 566 Head and Neck squamous cell carcinoma(HPV-)(483),Head and Neck squamous cell carcinoma(HPV+)(39),Paracancerous(HPV-)(44)

> Dataset: GSE140662

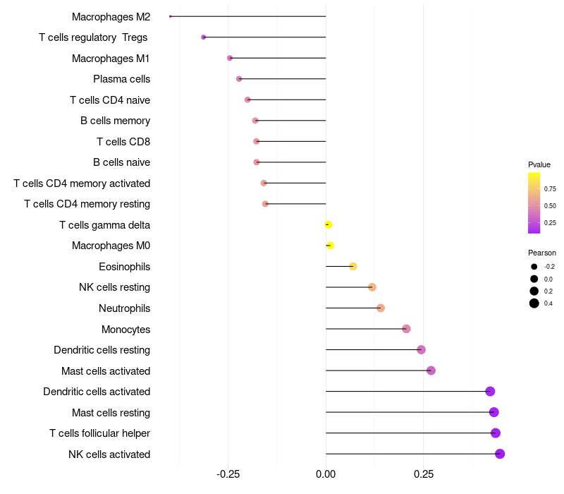
HeatMap of cell type fractions in all samples Lollipop of MC2R expression and immune infiltrating cell level correlation result in HPV+ samples
MC2R expression: Low -> High

> Dataset: GSE55546

HeatMap of cell type fractions in all samples Lollipop of MC2R expression and immune infiltrating cell level correlation result in HPV+ samples
MC2R expression: Low -> High

> Dataset: GSE55544

HeatMap of cell type fractions in all samples Lollipop of MC2R expression and immune infiltrating cell level correlation result in HPV+ samples
MC2R expression: Low -> High

> Dataset: GSE55542

HeatMap of cell type fractions in all samples Lollipop of MC2R expression and immune infiltrating cell level correlation result in HPV+ samples
MC2R expression: Low -> High

> Dataset: GSE51993

HeatMap of cell type fractions in all samples Lollipop of MC2R expression and immune infiltrating cell level correlation result in HPV+ samples
MC2R expression: Low -> High

> Dataset: HNSC

HeatMap of cell type fractions in all samples Lollipop of MC2R expression and immune infiltrating cell level correlation result in HPV+ samples
MC2R expression: Low -> High

Contents
Description

Gene Information Note

  • Integration Table: if previous studies reported that target gene was altered by virus integration events, the overlap between VISs in this literature and Cistrome factors was listed in the "Target gene [gene] related to VIS" section

Immune Analysis Plot Note

  • Left: Heatmap of target gene expression and the level of various types of immune cells (cell type fractions) in all samples based on CIBERSORT method.
  • Right: Correlation of target gene expression and the level of various types of immune cells in virus positive samples (Pearson Correlation Coefficient).