HTLV1 Target gene Detail Information

> MCFD2 Gene Search Result


Gene Information
Gene Name MCFD2
Gene ID 90411
Gene Full Name multiple coagulation factor deficiency 2
Gene Alias F5F8D; SDNSF; F5F8D2; LMAN1IP
Transcripts ENSG00000180398
Virus HTLV1
Gene Type protein coding
HPA Location Info
HPA Protein Class Info Disease related genes, Plasma proteins, Predicted intracellular proteins
Uniport_ID Q8NI22
HGNC ID HGNC:18451
VEGA ID OTTHUMG00000153100
OMIM ID 607788
String ID 9606.ENSP00000386651
Drugbank ID BE0002120
PharmGKB ID PA134925788
Target gene [MCFD2] related to VISs
DVID Chromosome HM TFBS CA Sum of Overlapped Records Detail
6002758 chr2 146 49 16 211 View

Relationship between gene expression and immune infiltrating cell level
Data ID Disease Sample number Sample type
GSE55851 (GEO) Adult T-cell leukemia 21 Normal (3), Asymptomatic carriers (HTLV1+)(6), Adult T-cell Leukemia-lymphoma (HTLV1+)(12)
GSE29312 (GEO) HTLV-1 associated myelopathy 39 Normal (9), Asymptomatic carriers (HTLV1+)(20), HTLV-1-associated myelopathy (HTLV1+)(10)
GSE29332 (GEO) HTLV-1 associated myelopathy 35 Normal (8), Asymptomatic carriers (HTLV1+)(17), HTLV-1-associated myelopathy (HTLV1+)(10)

> Dataset: GSE55851

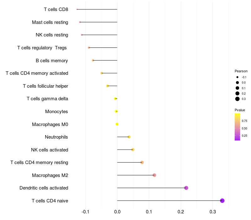
HeatMap of cell type fractions in all samples Lollipop of MCFD2 expression and immune infiltrating cell level correlation result in HTLV1+ samples
MCFD2 expression: Low -> High

> Dataset: GSE29312

HeatMap of cell type fractions in all samples Lollipop of MCFD2 expression and immune infiltrating cell level correlation result in HTLV1+ samples
MCFD2 expression: Low -> High

> Dataset: GSE29332

HeatMap of cell type fractions in all samples Lollipop of MCFD2 expression and immune infiltrating cell level correlation result in HTLV1+ samples
MCFD2 expression: Low -> High

Contents
Description

Gene Information Note

  • Integration Table: if previous studies reported that target gene was altered by virus integration events, the overlap between VISs in this literature and Cistrome factors was listed in the "Target gene [gene] related to VIS" section

Immune Analysis Plot Note

  • Left: Heatmap of target gene expression and the level of various types of immune cells (cell type fractions) in all samples based on CIBERSORT method.
  • Right: Correlation of target gene expression and the level of various types of immune cells in virus positive samples (Pearson Correlation Coefficient).