HPV Target gene Detail Information

> MGC27382 Gene Search Result


Gene Information
Gene Name MGC27382
Gene ID 149047
Gene Full Name uncharacterized MGC27382
Transcripts ENSG00000237413
Virus HPV
Gene Type ncRNA
HPA Location Info
Target gene [MGC27382] related to VISs
DVID Chromosome HM TFBS CA Sum of Overlapped Records Detail
5403391 chr1 1 1 View
5404974 chr1 175 66 7 248 View

Relationship between gene expression and immune infiltrating cell level
Data ID Disease Sample number Sample type
GSE140662 (GEO) Condyloma Acuminatum 8 Condyloma acuminata (HPV+)(5), Skin(3)
GSE55546 (GEO) Oropharyngeal squamous cell carcinoma 16 Oropharyngeal cancers (HPV+)(12), Normal (4)
GSE55544 (GEO) Oropharyngeal squamous cell carcinoma 23 Oropharyngeal cancers HPV Active (11), Oropharyngeal cancers HPV Inactive (4), Oropharyngeal cancers HPV Negative (8)
GSE55542 (GEO) Oropharyngeal squamous cell carcinoma 36 Oropharyngeal cancers HPV Active (12), Oropharyngeal cancers HPV Inactive (8), Oropharyngeal cancers HPV Negative (16)
GSE51993 (GEO) Cervical intraepithelial neoplasia 24 Cervical intraepithelial neoplasia (HPV+)(17), Normal(7)
HNSC (TCGA) Head and Neck squamous cell carcinoma 566 Head and Neck squamous cell carcinoma(HPV-)(483),Head and Neck squamous cell carcinoma(HPV+)(39),Paracancerous(HPV-)(44)

> Dataset: GSE140662

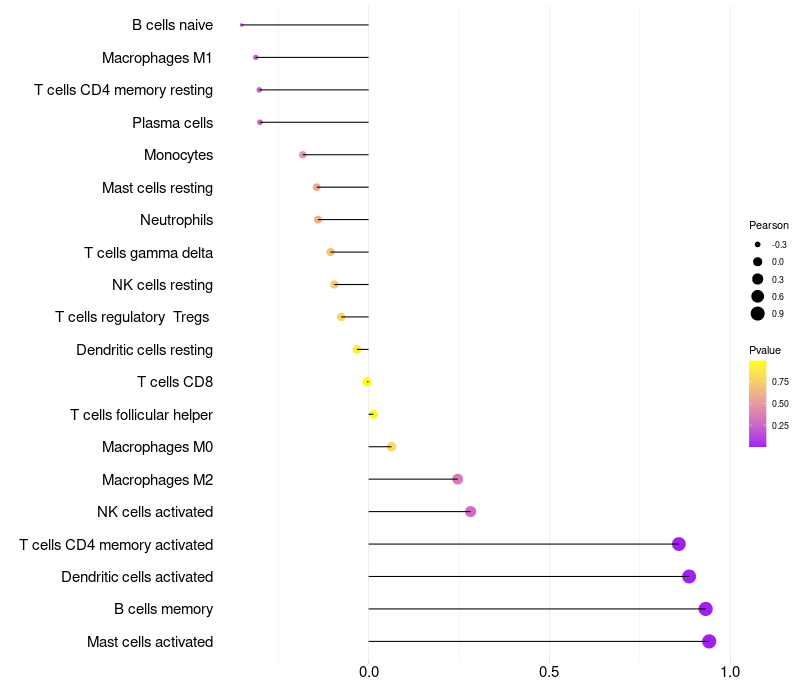
HeatMap of cell type fractions in all samples Lollipop of MGC27382 expression and immune infiltrating cell level correlation result in HPV+ samples
MGC27382 expression: Low -> High

> Dataset: GSE55546

HeatMap of cell type fractions in all samples Lollipop of MGC27382 expression and immune infiltrating cell level correlation result in HPV+ samples
MGC27382 expression: Low -> High

> Dataset: GSE55544

HeatMap of cell type fractions in all samples Lollipop of MGC27382 expression and immune infiltrating cell level correlation result in HPV+ samples
MGC27382 expression: Low -> High

> Dataset: GSE55542

HeatMap of cell type fractions in all samples Lollipop of MGC27382 expression and immune infiltrating cell level correlation result in HPV+ samples
MGC27382 expression: Low -> High

> Dataset: GSE51993

HeatMap of cell type fractions in all samples Lollipop of MGC27382 expression and immune infiltrating cell level correlation result in HPV+ samples
MGC27382 expression: Low -> High

> Dataset: HNSC

HeatMap of cell type fractions in all samples Lollipop of MGC27382 expression and immune infiltrating cell level correlation result in HPV+ samples
MGC27382 expression: Low -> High

Contents
Description

Gene Information Note

  • Integration Table: if previous studies reported that target gene was altered by virus integration events, the overlap between VISs in this literature and Cistrome factors was listed in the "Target gene [gene] related to VIS" section

Immune Analysis Plot Note

  • Left: Heatmap of target gene expression and the level of various types of immune cells (cell type fractions) in all samples based on CIBERSORT method.
  • Right: Correlation of target gene expression and the level of various types of immune cells in virus positive samples (Pearson Correlation Coefficient).