HIV Target gene Detail Information

> MTMR9 Gene Search Result


Gene Information
Gene Name MTMR9
Gene ID 66036
Gene Full Name myotubularin related protein 9
Gene Alias MTMR8; C8orf9; LIP-STYX
Transcripts ENSG00000285032
Virus HIV
Gene Type protein coding
HPA Location Info Centrosome;Actin filaments;
HPA Protein Class Info Plasma proteins, Predicted intracellular proteins
Uniport_ID Q96QG7
HGNC ID HGNC:14596
VEGA ID OTTHUMG00000090647
OMIM ID 606260
String ID 9606.ENSP00000221086
PharmGKB ID PA37904
Target gene [MTMR9] related to VISs
DVID Chromosome HM TFBS CA Sum of Overlapped Records Detail
4000912 chr8 250 1 251 View

Relationship between gene expression and immune infiltrating cell level
Data ID Disease Sample number Sample type
GSE17372 (GEO) AIDS-associated lymphoma 17 AIDS-Related Lymphomas (HIV+)(17)
GSE50834 (GEO) HIV-infected disease 44 HIV infected (23), HIV/TB co-infected (21)

> Dataset: GSE17372

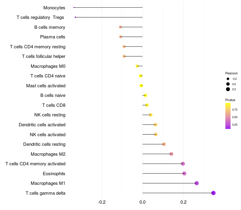
HeatMap of cell type fractions in all samples Lollipop of MTMR9 expression and immune infiltrating cell level correlation result in HIV+ samples
MTMR9 expression: Low -> High

> Dataset: GSE50834

HeatMap of cell type fractions in all samples Lollipop of MTMR9 expression and immune infiltrating cell level correlation result in HIV+ samples
MTMR9 expression: Low -> High

Contents
Description

Gene Information Note

  • Integration Table: if previous studies reported that target gene was altered by virus integration events, the overlap between VISs in this literature and Cistrome factors was listed in the "Target gene [gene] related to VIS" section

Immune Analysis Plot Note

  • Left: Heatmap of target gene expression and the level of various types of immune cells (cell type fractions) in all samples based on CIBERSORT method.
  • Right: Correlation of target gene expression and the level of various types of immune cells in virus positive samples (Pearson Correlation Coefficient).