HPV Target gene Detail Information

> NDUFB11 Gene Search Result


Gene Information
Gene Name NDUFB11
Gene ID 54539
Gene Full Name NADH:ubiquinone oxidoreductase subunit B11
Gene Alias ESSS; Np15; P17.3; NP17.3; CI-ESSS
Transcripts ENSG00000147123
Virus HPV
Gene Type protein coding
HPA Location Info Mitochondria;
Membrane Info Predicted membrane proteins
HPA Protein Class Info Disease related genes, Predicted membrane proteins
Uniport_ID Q9NX14
HGNC ID HGNC:20372
VEGA ID OTTHUMG00000021433
OMIM ID 300403
String ID 9606.ENSP00000276062
PharmGKB ID PA134924203
Target gene [NDUFB11] related to VISs
DVID Chromosome HM TFBS CA Sum of Overlapped Records Detail
5404228 chrX 14 14 View

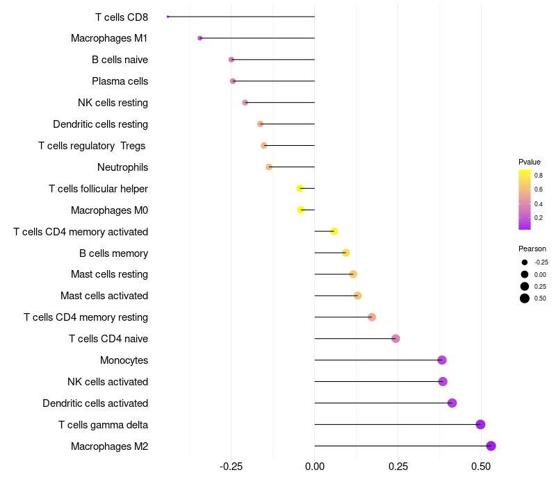
Relationship between gene expression and immune infiltrating cell level
Data ID Disease Sample number Sample type
GSE140662 (GEO) Condyloma Acuminatum 8 Condyloma acuminata (HPV+)(5), Skin(3)
GSE65858 (GEO) Head and neck squamous cell carcinoma 270 Head and neck squamous cell carcinoma (EBV+)(73), Head and neck squamous cell carcinoma (EBV-)(197)
GSE40774 (GEO) Head and neck squamous cell carcinoma 134 Head and neck Squamous cell carcinomas GLOTTIC LARYNX (EBV-)(2), Head and neck Squamous cell carcinomas HYPOPHARYNX (EBV-)(9), Head and neck Squamous cell carcinomas ORAL CAVITY (EBV-)(23), Head and neck Squamous cell carcinomas ORAL CAVITY (EBV+)(2), Head and neck Squamous cell carcinomas OROPHARYNX (EBV-)(22), Head and neck Squamous cell carcinomas OROPHARYNX (EBV+)(54), Head and neck Squamous cell carcinomas OTHER (EBV+)(1), Head and neck Squamous cell carcinomas SUBGLOTTIC LARYNX (EBV-)(1), Head and neck Squamous cell carcinomas SUPRAGLOTTIC (EBV-)(19), Squamous cell carcinomas SUPRAGLOTTIC (EBV+)(1)
GSE55546 (GEO) Oropharyngeal squamous cell carcinoma 16 Oropharyngeal cancers (HPV+)(12), Normal (4)
GSE55544 (GEO) Oropharyngeal squamous cell carcinoma 23 Oropharyngeal cancers HPV Active (11), Oropharyngeal cancers HPV Inactive (4), Oropharyngeal cancers HPV Negative (8)
GSE55542 (GEO) Oropharyngeal squamous cell carcinoma 36 Oropharyngeal cancers HPV Active (12), Oropharyngeal cancers HPV Inactive (8), Oropharyngeal cancers HPV Negative (16)
GSE138080 (GEO) Cervical intraepithelial neoplasia 25 Normal (10), Cervical intraepithelial neoplasia (HPV+)(15)
GSE51993 (GEO) Cervical intraepithelial neoplasia 24 Cervical intraepithelial neoplasia (HPV+)(17), Normal(7)
HNSC (TCGA) Head and Neck squamous cell carcinoma 566 Head and Neck squamous cell carcinoma(HPV-)(483),Head and Neck squamous cell carcinoma(HPV+)(39),Paracancerous(HPV-)(44)

> Dataset: GSE140662

HeatMap of cell type fractions in all samples Lollipop of NDUFB11 expression and immune infiltrating cell level correlation result in HPV+ samples
NDUFB11 expression: Low -> High

> Dataset: GSE65858

HeatMap of cell type fractions in all samples Lollipop of NDUFB11 expression and immune infiltrating cell level correlation result in HPV+ samples
NDUFB11 expression: Low -> High

> Dataset: GSE40774

HeatMap of cell type fractions in all samples Lollipop of NDUFB11 expression and immune infiltrating cell level correlation result in HPV+ samples
NDUFB11 expression: Low -> High

> Dataset: GSE55546

HeatMap of cell type fractions in all samples Lollipop of NDUFB11 expression and immune infiltrating cell level correlation result in HPV+ samples
NDUFB11 expression: Low -> High

> Dataset: GSE55544

HeatMap of cell type fractions in all samples Lollipop of NDUFB11 expression and immune infiltrating cell level correlation result in HPV+ samples
NDUFB11 expression: Low -> High

> Dataset: GSE55542

HeatMap of cell type fractions in all samples Lollipop of NDUFB11 expression and immune infiltrating cell level correlation result in HPV+ samples
NDUFB11 expression: Low -> High

> Dataset: GSE138080

HeatMap of cell type fractions in all samples Lollipop of NDUFB11 expression and immune infiltrating cell level correlation result in HPV+ samples
NDUFB11 expression: Low -> High

> Dataset: GSE51993

HeatMap of cell type fractions in all samples Lollipop of NDUFB11 expression and immune infiltrating cell level correlation result in HPV+ samples
NDUFB11 expression: Low -> High

> Dataset: HNSC

HeatMap of cell type fractions in all samples Lollipop of NDUFB11 expression and immune infiltrating cell level correlation result in HPV+ samples
NDUFB11 expression: Low -> High

Contents
Description

Gene Information Note

  • Integration Table: if previous studies reported that target gene was altered by virus integration events, the overlap between VISs in this literature and Cistrome factors was listed in the "Target gene [gene] related to VIS" section

Immune Analysis Plot Note

  • Left: Heatmap of target gene expression and the level of various types of immune cells (cell type fractions) in all samples based on CIBERSORT method.
  • Right: Correlation of target gene expression and the level of various types of immune cells in virus positive samples (Pearson Correlation Coefficient).