HPV Target gene Detail Information

> NEFM Gene Search Result


Gene Information
Gene Name NEFM
Gene ID 4741
Gene Full Name neurofilament medium
Gene Alias NFM; NEF3; NF-M
Transcripts ENSG00000104722
Virus HPV
Gene Type protein coding
HPA Location Info Intermediate filaments;
HPA Protein Class Info Plasma proteins, Predicted intracellular proteins
Uniport_ID P07197
HGNC ID HGNC:7734
VEGA ID OTTHUMG00000131990
OMIM ID 162250
String ID 9606.ENSP00000221166
PharmGKB ID PA162397442
Target gene [NEFM] related to VISs
DVID Chromosome HM TFBS CA Sum of Overlapped Records Detail
5404815 chr8 1 1 View

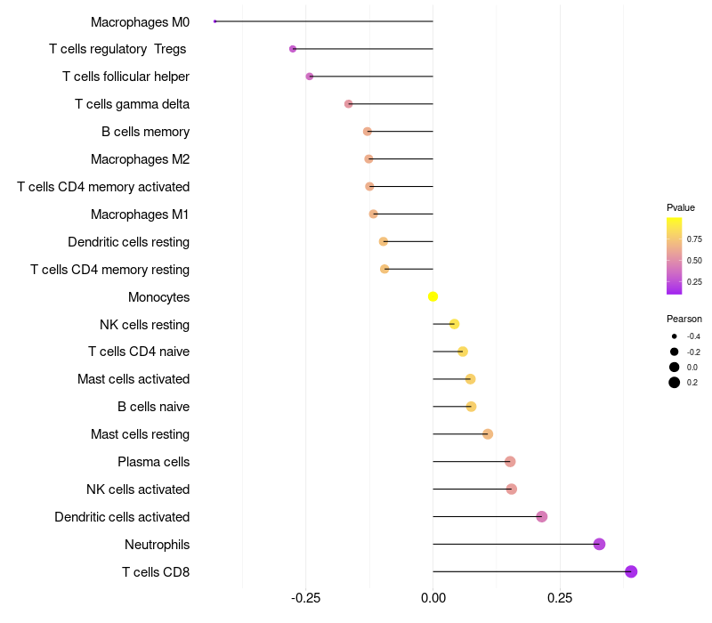
Relationship between gene expression and immune infiltrating cell level
Data ID Disease Sample number Sample type
GSE140662 (GEO) Condyloma Acuminatum 8 Condyloma acuminata (HPV+)(5), Skin(3)
GSE65858 (GEO) Head and neck squamous cell carcinoma 270 Head and neck squamous cell carcinoma (EBV+)(73), Head and neck squamous cell carcinoma (EBV-)(197)
GSE55546 (GEO) Oropharyngeal squamous cell carcinoma 16 Oropharyngeal cancers (HPV+)(12), Normal (4)
GSE55544 (GEO) Oropharyngeal squamous cell carcinoma 23 Oropharyngeal cancers HPV Active (11), Oropharyngeal cancers HPV Inactive (4), Oropharyngeal cancers HPV Negative (8)
GSE55542 (GEO) Oropharyngeal squamous cell carcinoma 36 Oropharyngeal cancers HPV Active (12), Oropharyngeal cancers HPV Inactive (8), Oropharyngeal cancers HPV Negative (16)
GSE138080 (GEO) Cervical intraepithelial neoplasia 25 Normal (10), Cervical intraepithelial neoplasia (HPV+)(15)
GSE51993 (GEO) Cervical intraepithelial neoplasia 24 Cervical intraepithelial neoplasia (HPV+)(17), Normal(7)
HNSC (TCGA) Head and Neck squamous cell carcinoma 566 Head and Neck squamous cell carcinoma(HPV-)(483),Head and Neck squamous cell carcinoma(HPV+)(39),Paracancerous(HPV-)(44)

> Dataset: GSE140662

HeatMap of cell type fractions in all samples Lollipop of NEFM expression and immune infiltrating cell level correlation result in HPV+ samples
NEFM expression: Low -> High

> Dataset: GSE65858

HeatMap of cell type fractions in all samples Lollipop of NEFM expression and immune infiltrating cell level correlation result in HPV+ samples
NEFM expression: Low -> High

> Dataset: GSE55546

HeatMap of cell type fractions in all samples Lollipop of NEFM expression and immune infiltrating cell level correlation result in HPV+ samples
NEFM expression: Low -> High

> Dataset: GSE55544

HeatMap of cell type fractions in all samples Lollipop of NEFM expression and immune infiltrating cell level correlation result in HPV+ samples
NEFM expression: Low -> High

> Dataset: GSE55542

HeatMap of cell type fractions in all samples Lollipop of NEFM expression and immune infiltrating cell level correlation result in HPV+ samples
NEFM expression: Low -> High

> Dataset: GSE138080

HeatMap of cell type fractions in all samples Lollipop of NEFM expression and immune infiltrating cell level correlation result in HPV+ samples
NEFM expression: Low -> High

> Dataset: GSE51993

HeatMap of cell type fractions in all samples Lollipop of NEFM expression and immune infiltrating cell level correlation result in HPV+ samples
NEFM expression: Low -> High

> Dataset: HNSC

HeatMap of cell type fractions in all samples Lollipop of NEFM expression and immune infiltrating cell level correlation result in HPV+ samples
NEFM expression: Low -> High

Contents
Description

Gene Information Note

  • Integration Table: if previous studies reported that target gene was altered by virus integration events, the overlap between VISs in this literature and Cistrome factors was listed in the "Target gene [gene] related to VIS" section

Immune Analysis Plot Note

  • Left: Heatmap of target gene expression and the level of various types of immune cells (cell type fractions) in all samples based on CIBERSORT method.
  • Right: Correlation of target gene expression and the level of various types of immune cells in virus positive samples (Pearson Correlation Coefficient).