|
Gene Information
|
Gene Name
|
NMUR1 |
|
Gene ID
|
10316
|
|
Gene Full Name
|
neuromedin U receptor 1 |
|
Gene Alias
|
FM3; FM-3; GPC-R; GPR66; NMU1R; (FM-3) |
|
Transcripts
|
ENSG00000171596
|
|
Virus
|
HBV |
|
Gene Type
|
protein coding |
|
HPA Location Info
|
|
|
Membrane Info
|
Predicted membrane proteins |
|
HPA Protein Class Info
|
G-protein coupled receptors, Predicted membrane proteins, Transporters |
|
Uniport_ID
|
Q9HB89
|
|
HGNC ID
|
HGNC:4518
|
|
VEGA ID
|
OTTHUMG00000133225
|
|
OMIM ID
|
604153 |
|
String ID
|
9606.ENSP00000305877
|
|
PharmGKB ID
|
PA28910
|
Target gene [NMUR1] related to VISs
| DVID |
Chromosome |
HM |
TFBS |
CA |
Sum of Overlapped Records |
Detail |
| 1009481 |
chr2 |
15 |
|
|
15 |
View |
Relationship between gene expression and immune infiltrating cell level
| Data ID |
Disease |
Sample number |
Sample type |
|
GSE114783 (GEO) |
Chronic HBV (CHB) infection |
36 |
Chronic hepatitis B patients (HBV+)(10),Hepatocellular carcinoma (HBV+)(10),Liver cirrhosis(HBV+)(10),Normal(3),HBV carriers (3) |
|
GSE114783 (GEO) |
Hepatocellular carcinoma |
36 |
Chronic hepatitis B patients (HBV+)(10),Hepatocellular carcinoma (HBV+)(10),Liver cirrhosis(HBV+)(10),Normal(3),HBV carriers (3) |
|
GSE114783 (GEO) |
Liver cirrhosis |
36 |
Chronic hepatitis B patients (HBV+)(10),Hepatocellular carcinoma (HBV+)(10),Liver cirrhosis(HBV+)(10),Normal(3),HBV carriers (3) |
|
LIHC (TCGA) |
Liver hepatocellular carcinoma |
424 |
Liver hepatocellular carcinoma HCV (HBV+)(86), Liver hepatocellular carcinoma HCV (HBV-)(19), Liver hepatocellular carcinoma (HBV+)(209), Liver hepatocellular carcinoma (HBV+)(60), Paracancerous HCV (HBV+)(4), Paracancerous (HBV-)(28), Paracancerous (HBV+)(18) |
> Dataset: GSE114783
|
|
HeatMap of cell type fractions in all samples
|
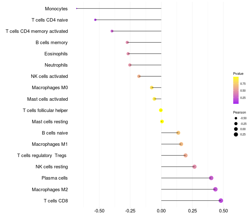
Lollipop of NMUR1 expression and immune infiltrating cell level correlation result in HBV+ Chronic HBV (CHB) infection samples
|
NMUR1 expression: Low -> High
|
|
|
Lollipop of NMUR1 expression and immune infiltrating cell level correlation result in HBV+ Liver cirrhosis samples
|
Lollipop of NMUR1 expression and immune infiltrating cell level correlation result in HBV+ Hepatocellular carcinoma samples
|
|
|
|
> Dataset: LIHC
|
|
HeatMap of cell type fractions in all samples
|
Lollipop of NMUR1 expression and immune infiltrating cell level correlation result in HBV+ samples
|
NMUR1 expression: Low -> High
|
|
|
|
|