HTLV1 Target gene Detail Information

> NRP2 Gene Search Result


Gene Information
Gene Name NRP2
Gene ID 8828
Gene Full Name neuropilin 2
Gene Alias NP2; NPN2; PRO2714; VEGF165R2
Transcripts ENSG00000118257
Virus HTLV1
Gene Type protein coding
HPA Location Info Plasma membrane;Vesicles;Nucleoplasm;Predicted to be secreted;
Membrane Info Predicted membrane proteins
HPA Protein Class Info Cancer-related genes, Plasma proteins, Predicted membrane proteins, Predicted secreted proteins
Uniport_ID O60462
HGNC ID HGNC:8005
VEGA ID OTTHUMG00000132893
OMIM ID 602070
String ID 9606.ENSP00000353582
PharmGKB ID PA31784
Target gene [NRP2] related to VISs
DVID Chromosome HM TFBS CA Sum of Overlapped Records Detail
6001550 chr2 395 5 400 View

Relationship between gene expression and immune infiltrating cell level
Data ID Disease Sample number Sample type
GSE55851 (GEO) Adult T-cell leukemia 21 Normal (3), Asymptomatic carriers (HTLV1+)(6), Adult T-cell Leukemia-lymphoma (HTLV1+)(12)
GSE29312 (GEO) HTLV-1 associated myelopathy 39 Normal (9), Asymptomatic carriers (HTLV1+)(20), HTLV-1-associated myelopathy (HTLV1+)(10)
GSE29332 (GEO) HTLV-1 associated myelopathy 35 Normal (8), Asymptomatic carriers (HTLV1+)(17), HTLV-1-associated myelopathy (HTLV1+)(10)

> Dataset: GSE55851

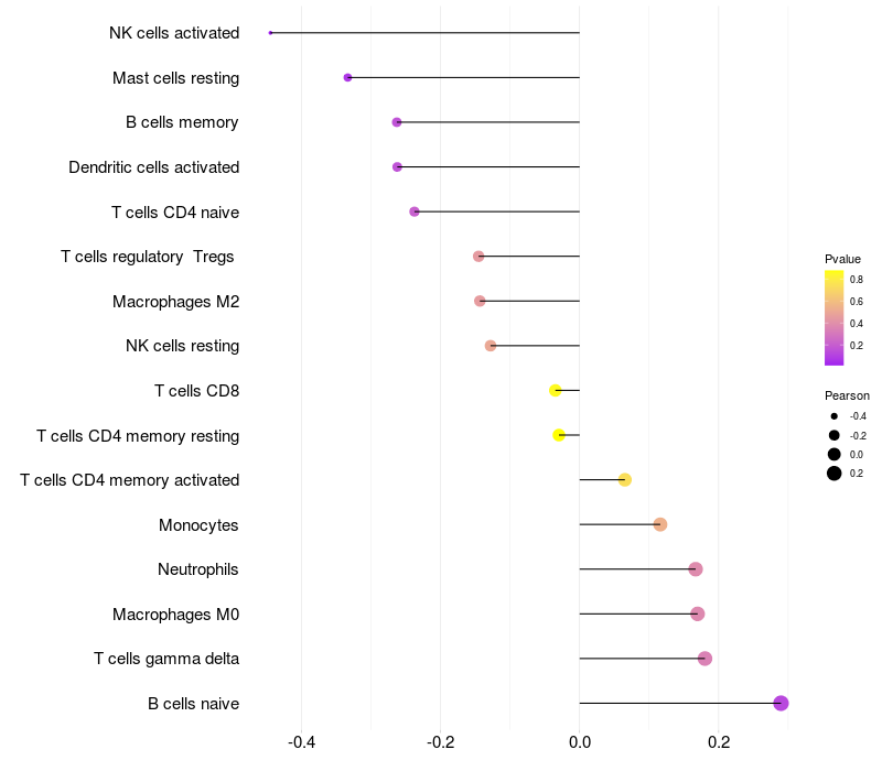
HeatMap of cell type fractions in all samples Lollipop of NRP2 expression and immune infiltrating cell level correlation result in HTLV1+ samples
NRP2 expression: Low -> High

> Dataset: GSE29312

HeatMap of cell type fractions in all samples Lollipop of NRP2 expression and immune infiltrating cell level correlation result in HTLV1+ samples
NRP2 expression: Low -> High

> Dataset: GSE29332

HeatMap of cell type fractions in all samples Lollipop of NRP2 expression and immune infiltrating cell level correlation result in HTLV1+ samples
NRP2 expression: Low -> High

Contents
Description

Gene Information Note

  • Integration Table: if previous studies reported that target gene was altered by virus integration events, the overlap between VISs in this literature and Cistrome factors was listed in the "Target gene [gene] related to VIS" section

Immune Analysis Plot Note

  • Left: Heatmap of target gene expression and the level of various types of immune cells (cell type fractions) in all samples based on CIBERSORT method.
  • Right: Correlation of target gene expression and the level of various types of immune cells in virus positive samples (Pearson Correlation Coefficient).