EBV Target gene Detail Information

> NTNG1 Gene Search Result


Gene Information
Gene Name NTNG1
Gene ID 22854
Gene Full Name netrin G1
Gene Alias Lmnt1
Transcripts ENSG00000162631
Virus EBV
Gene Type protein coding
HPA Location Info Plasma membrane;
HPA Protein Class Info Predicted intracellular proteins
Uniport_ID Q9Y2I2
HGNC ID HGNC:23319
VEGA ID OTTHUMG00000010965
OMIM ID 608818
String ID 9606.ENSP00000359085
PharmGKB ID PA164742200
Target gene [NTNG1] related to VISs
DVID Chromosome HM TFBS CA Sum of Overlapped Records Detail
3000561 chr1 7 3 1 11 View

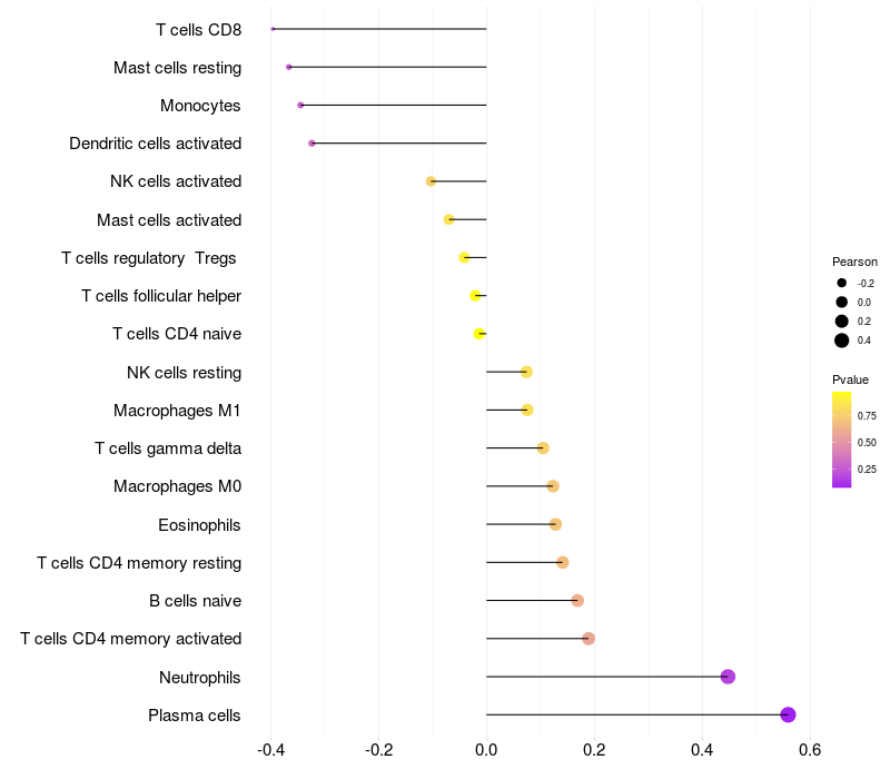
Relationship between gene expression and immune infiltrating cell level
Data ID Disease Sample number Sample type
GSE102203 (GEO) B-cell lymphoma 9 Plasmablastic lymphomas (EBV+)(6), Plasmablastic lymphomas (EBV-)(3)
GSE100458 (GEO) Burkitt lymphoma 14 Burkitt lyphoma cell line Akata(EBV+)(2),Burkitt lyphoma cell line Akata(EBV-)(2),Burkitt lyphoma cell line Awia(EBV+)(2),Burkitt lyphoma cell line Awia(EBV-)(2),Burkitt lyphoma cell line Eli(EBV+)(1),Burkitt lyphoma cell line Eli(EBV-)(1),Burkitt lyphoma cell line Mutu(EBV+)(2),Burkitt lyphoma cell line Mutu(EBV-)(2)
GSE42867 (GEO) Burkitt lymphoma 12 Burkitt lymphoma cell line Awia (EBV+)(12)
GSE135644 (GEO) Gastric carcinoma 10 Gastric adenocarcinoma cell line AGS (5), Gastric adenocarcinoma cell line AGS (EBV+)(5)
GSE45919 (GEO) Infectious mononucleosis 24 Infectious mononucleosis (IM)(EBV+)(3), Normal (9), Latent EBV (12)
GSE85599 (GEO) Infectious mononucleosis 17 Chronic active EBV infection (EBV+)(5), Acute infectious mononucleosis (EBV+)(6), Normal (6)
GSE58240 (GEO) Multiple sclerosis 32 Multiple sclerosis IFN-β treated (EBV+)(16), Multiple sclerosis untreated (EBV+)(16)
GSE12452 (GEO) Nasopharyngeal carcinoma 41 Nasopharyngeal carcinoma (EBV+)(31), Normal(10)

> Dataset: GSE102203

HeatMap of cell type fractions in all samples Lollipop of NTNG1 expression and immune infiltrating cell level correlation result in EBV+ samples
NTNG1 expression: Low -> High

> Dataset: GSE100458

HeatMap of cell type fractions in all samples Lollipop of NTNG1 expression and immune infiltrating cell level correlation result in EBV+ samples
NTNG1 expression: Low -> High

> Dataset: GSE42867

HeatMap of cell type fractions in all samples Lollipop of NTNG1 expression and immune infiltrating cell level correlation result in EBV+ samples
NTNG1 expression: Low -> High

> Dataset: GSE135644

HeatMap of cell type fractions in all samples Lollipop of NTNG1 expression and immune infiltrating cell level correlation result in EBV+ samples
NTNG1 expression: Low -> High

> Dataset: GSE45919

HeatMap of cell type fractions in all samples Lollipop of NTNG1 expression and immune infiltrating cell level correlation result in EBV+ samples
NTNG1 expression: Low -> High

> Dataset: GSE85599

HeatMap of cell type fractions in all samples Lollipop of NTNG1 expression and immune infiltrating cell level correlation result in EBV+ samples
NTNG1 expression: Low -> High

> Dataset: GSE58240

HeatMap of cell type fractions in all samples Lollipop of NTNG1 expression and immune infiltrating cell level correlation result in EBV+ samples
NTNG1 expression: Low -> High

> Dataset: GSE12452

HeatMap of cell type fractions in all samples Lollipop of NTNG1 expression and immune infiltrating cell level correlation result in EBV+ samples
NTNG1 expression: Low -> High

Contents
Description

Gene Information Note

  • Integration Table: if previous studies reported that target gene was altered by virus integration events, the overlap between VISs in this literature and Cistrome factors was listed in the "Target gene [gene] related to VIS" section

Immune Analysis Plot Note

  • Left: Heatmap of target gene expression and the level of various types of immune cells (cell type fractions) in all samples based on CIBERSORT method.
  • Right: Correlation of target gene expression and the level of various types of immune cells in virus positive samples (Pearson Correlation Coefficient).