|
Gene Information
|
Gene Name
|
NUP62 |
|
Gene ID
|
23636
|
|
Gene Full Name
|
nucleoporin 62 |
|
Gene Alias
|
p62; IBSN; SNDI |
|
Transcripts
|
ENSG00000213024
|
|
Virus
|
HBV |
|
Gene Type
|
protein coding |
|
HPA Location Info
|
Nuclear membrane;Nucleoplasm;
|
|
HPA Protein Class Info
|
Disease related genes, Potential drug targets, Predicted intracellular proteins, Transporters |
|
Uniport_ID
|
P37198
|
|
HGNC ID
|
HGNC:8066
|
|
VEGA ID
|
OTTHUMG00000183077
|
|
OMIM ID
|
605815 |
|
String ID
|
9606.ENSP00000471191
|
|
PharmGKB ID
|
PA31854
|
Target gene [NUP62] related to VISs
| DVID |
Chromosome |
HM |
TFBS |
CA |
Sum of Overlapped Records |
Detail |
| 1404330 |
chr19 |
73 |
7 |
2 |
82 |
View |
Relationship between gene expression and immune infiltrating cell level
| Data ID |
Disease |
Sample number |
Sample type |
|
GSE114783 (GEO) |
Chronic HBV (CHB) infection |
36 |
Chronic hepatitis B patients (HBV+)(10),Hepatocellular carcinoma (HBV+)(10),Liver cirrhosis(HBV+)(10),Normal(3),HBV carriers (3) |
|
GSE114783 (GEO) |
Hepatocellular carcinoma |
36 |
Chronic hepatitis B patients (HBV+)(10),Hepatocellular carcinoma (HBV+)(10),Liver cirrhosis(HBV+)(10),Normal(3),HBV carriers (3) |
|
GSE114783 (GEO) |
Liver cirrhosis |
36 |
Chronic hepatitis B patients (HBV+)(10),Hepatocellular carcinoma (HBV+)(10),Liver cirrhosis(HBV+)(10),Normal(3),HBV carriers (3) |
|
LIHC (TCGA) |
Liver hepatocellular carcinoma |
424 |
Liver hepatocellular carcinoma HCV (HBV+)(86), Liver hepatocellular carcinoma HCV (HBV-)(19), Liver hepatocellular carcinoma (HBV+)(209), Liver hepatocellular carcinoma (HBV+)(60), Paracancerous HCV (HBV+)(4), Paracancerous (HBV-)(28), Paracancerous (HBV+)(18) |
> Dataset: GSE114783
|
|
HeatMap of cell type fractions in all samples
|
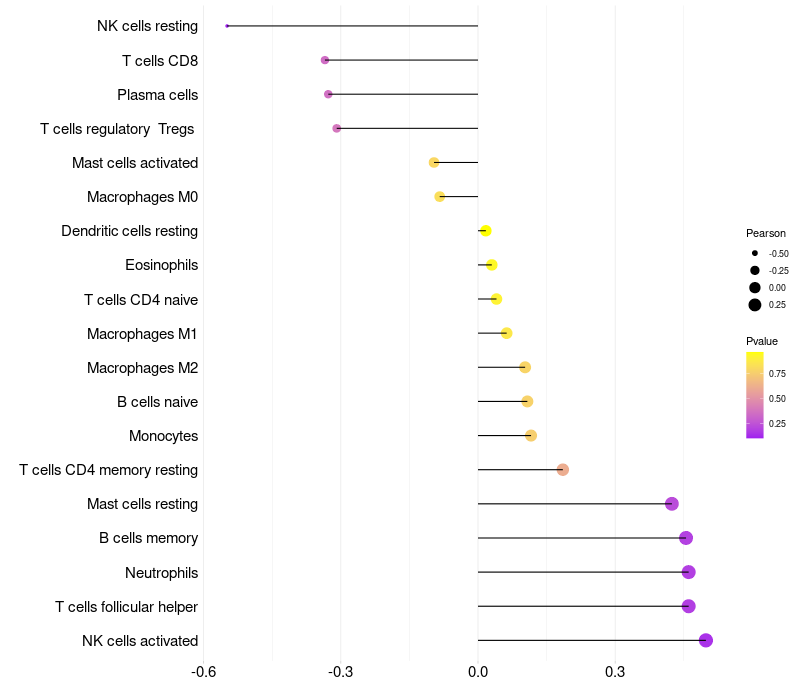
Lollipop of NUP62 expression and immune infiltrating cell level correlation result in HBV+ Chronic HBV (CHB) infection samples
|
NUP62 expression: Low -> High
|
|
|
Lollipop of NUP62 expression and immune infiltrating cell level correlation result in HBV+ Liver cirrhosis samples
|
Lollipop of NUP62 expression and immune infiltrating cell level correlation result in HBV+ Hepatocellular carcinoma samples
|
|
|
|
> Dataset: LIHC
|
|
HeatMap of cell type fractions in all samples
|
Lollipop of NUP62 expression and immune infiltrating cell level correlation result in HBV+ samples
|
NUP62 expression: Low -> High
|
|
|
|
|