HPV Target gene Detail Information

> OR8K3 Gene Search Result


Gene Information
Gene Name OR8K3
Gene ID 219473
Gene Full Name olfactory receptor family 8 subfamily K member 3 (gene/pseudogene)
Gene Alias OR11-181
Transcripts ENSG00000262755
Virus HPV
Gene Type protein coding
HPA Location Info
Membrane Info Predicted membrane proteins
HPA Protein Class Info G-protein coupled receptors, Predicted membrane proteins
Uniport_ID Q8NH51
HGNC ID HGNC:15313
VEGA ID OTTHUMG00000189925
String ID 9606.ENSP00000323555
PharmGKB ID PA32777
Target gene [OR8K3] related to VISs
DVID Chromosome HM TFBS CA Sum of Overlapped Records Detail
5403741 chr11 0 View

Relationship between gene expression and immune infiltrating cell level
Data ID Disease Sample number Sample type
GSE140662 (GEO) Condyloma Acuminatum 8 Condyloma acuminata (HPV+)(5), Skin(3)
GSE55546 (GEO) Oropharyngeal squamous cell carcinoma 16 Oropharyngeal cancers (HPV+)(12), Normal (4)
GSE55544 (GEO) Oropharyngeal squamous cell carcinoma 23 Oropharyngeal cancers HPV Active (11), Oropharyngeal cancers HPV Inactive (4), Oropharyngeal cancers HPV Negative (8)
GSE55542 (GEO) Oropharyngeal squamous cell carcinoma 36 Oropharyngeal cancers HPV Active (12), Oropharyngeal cancers HPV Inactive (8), Oropharyngeal cancers HPV Negative (16)
GSE51993 (GEO) Cervical intraepithelial neoplasia 24 Cervical intraepithelial neoplasia (HPV+)(17), Normal(7)
HNSC (TCGA) Head and Neck squamous cell carcinoma 566 Head and Neck squamous cell carcinoma(HPV-)(483),Head and Neck squamous cell carcinoma(HPV+)(39),Paracancerous(HPV-)(44)

> Dataset: GSE140662

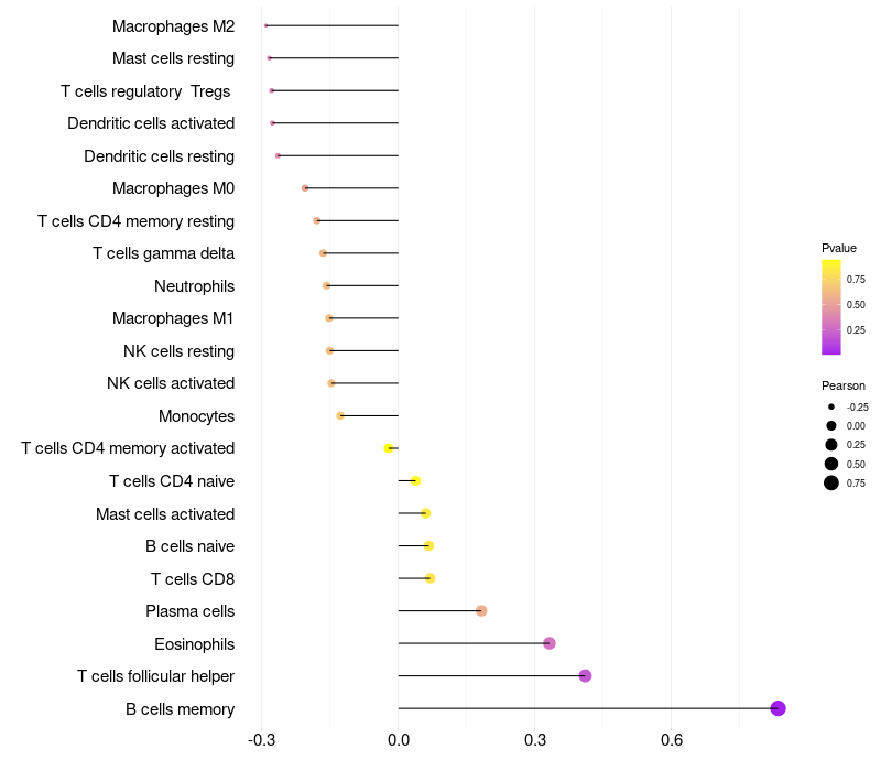
HeatMap of cell type fractions in all samples Lollipop of OR8K3 expression and immune infiltrating cell level correlation result in HPV+ samples
OR8K3 expression: Low -> High

> Dataset: GSE55546

HeatMap of cell type fractions in all samples Lollipop of OR8K3 expression and immune infiltrating cell level correlation result in HPV+ samples
OR8K3 expression: Low -> High

> Dataset: GSE55544

HeatMap of cell type fractions in all samples Lollipop of OR8K3 expression and immune infiltrating cell level correlation result in HPV+ samples
OR8K3 expression: Low -> High

> Dataset: GSE55542

HeatMap of cell type fractions in all samples Lollipop of OR8K3 expression and immune infiltrating cell level correlation result in HPV+ samples
OR8K3 expression: Low -> High

> Dataset: GSE51993

HeatMap of cell type fractions in all samples Lollipop of OR8K3 expression and immune infiltrating cell level correlation result in HPV+ samples
OR8K3 expression: Low -> High

> Dataset: HNSC

HeatMap of cell type fractions in all samples Lollipop of OR8K3 expression and immune infiltrating cell level correlation result in HPV+ samples
OR8K3 expression: Low -> High

Contents
Description

Gene Information Note

  • Integration Table: if previous studies reported that target gene was altered by virus integration events, the overlap between VISs in this literature and Cistrome factors was listed in the "Target gene [gene] related to VIS" section

Immune Analysis Plot Note

  • Left: Heatmap of target gene expression and the level of various types of immune cells (cell type fractions) in all samples based on CIBERSORT method.
  • Right: Correlation of target gene expression and the level of various types of immune cells in virus positive samples (Pearson Correlation Coefficient).