HTLV1 Target gene Detail Information

> PCBD2 Gene Search Result


Gene Information
Gene Name PCBD2
Gene ID 84105
Gene Full Name pterin-4 alpha-carbinolamine dehydratase 2
Gene Alias PHS2; DCOH2; DCOHM
Transcripts ENSG00000132570
Virus HTLV1
Gene Type protein coding
HPA Location Info Plasma membrane;
HPA Protein Class Info Enzymes, Predicted intracellular proteins
Uniport_ID Q9H0N5
HGNC ID HGNC:24474
VEGA ID OTTHUMG00000163070
OMIM ID 609836
String ID 9606.ENSP00000421544
PharmGKB ID PA142671197
Target gene [PCBD2] related to VISs
DVID Chromosome HM TFBS CA Sum of Overlapped Records Detail
6008292 chr5 42 4 46 View
6014814 chr5 15 15 View
6100051 chr5 186 280 435 901 View

Relationship between gene expression and immune infiltrating cell level
Data ID Disease Sample number Sample type
GSE55851 (GEO) Adult T-cell leukemia 21 Normal (3), Asymptomatic carriers (HTLV1+)(6), Adult T-cell Leukemia-lymphoma (HTLV1+)(12)
GSE29312 (GEO) HTLV-1 associated myelopathy 39 Normal (9), Asymptomatic carriers (HTLV1+)(20), HTLV-1-associated myelopathy (HTLV1+)(10)
GSE29332 (GEO) HTLV-1 associated myelopathy 35 Normal (8), Asymptomatic carriers (HTLV1+)(17), HTLV-1-associated myelopathy (HTLV1+)(10)

> Dataset: GSE55851

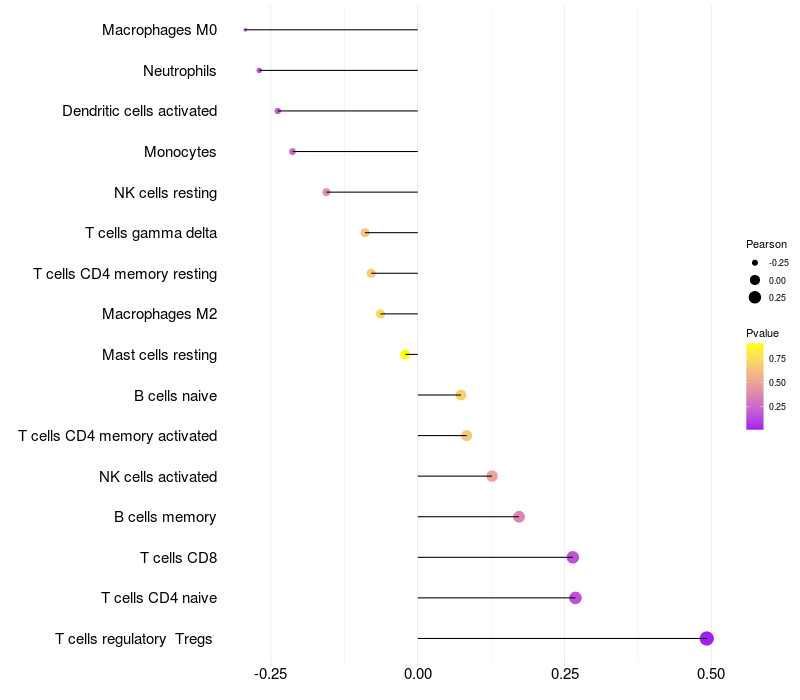
HeatMap of cell type fractions in all samples Lollipop of PCBD2 expression and immune infiltrating cell level correlation result in HTLV1+ samples
PCBD2 expression: Low -> High

> Dataset: GSE29312

HeatMap of cell type fractions in all samples Lollipop of PCBD2 expression and immune infiltrating cell level correlation result in HTLV1+ samples
PCBD2 expression: Low -> High

> Dataset: GSE29332

HeatMap of cell type fractions in all samples Lollipop of PCBD2 expression and immune infiltrating cell level correlation result in HTLV1+ samples
PCBD2 expression: Low -> High

Contents
Description

Gene Information Note

  • Integration Table: if previous studies reported that target gene was altered by virus integration events, the overlap between VISs in this literature and Cistrome factors was listed in the "Target gene [gene] related to VIS" section

Immune Analysis Plot Note

  • Left: Heatmap of target gene expression and the level of various types of immune cells (cell type fractions) in all samples based on CIBERSORT method.
  • Right: Correlation of target gene expression and the level of various types of immune cells in virus positive samples (Pearson Correlation Coefficient).