HTLV1 Target gene Detail Information

> PFKP Gene Search Result


Gene Information
Gene Name PFKP
Gene ID 5214
Gene Full Name phosphofructokinase, platelet
Gene Alias PFKF; PFK-C; PFK-P; ATP-PFK
Transcripts ENSG00000067057
Virus HTLV1
Gene Type protein coding
HPA Location Info Cytosol;
HPA Protein Class Info Enzymes, Plasma proteins, Predicted intracellular proteins
Uniport_ID Q01813
HGNC ID HGNC:8878
VEGA ID OTTHUMG00000017556
OMIM ID 171840
String ID 9606.ENSP00000370517
PharmGKB ID PA33217
Target gene [PFKP] related to VISs
DVID Chromosome HM TFBS CA Sum of Overlapped Records Detail
6001660 chr10 41 227 106 374 View

Relationship between gene expression and immune infiltrating cell level
Data ID Disease Sample number Sample type
GSE55851 (GEO) Adult T-cell leukemia 21 Normal (3), Asymptomatic carriers (HTLV1+)(6), Adult T-cell Leukemia-lymphoma (HTLV1+)(12)
GSE29312 (GEO) HTLV-1 associated myelopathy 39 Normal (9), Asymptomatic carriers (HTLV1+)(20), HTLV-1-associated myelopathy (HTLV1+)(10)
GSE29332 (GEO) HTLV-1 associated myelopathy 35 Normal (8), Asymptomatic carriers (HTLV1+)(17), HTLV-1-associated myelopathy (HTLV1+)(10)

> Dataset: GSE55851

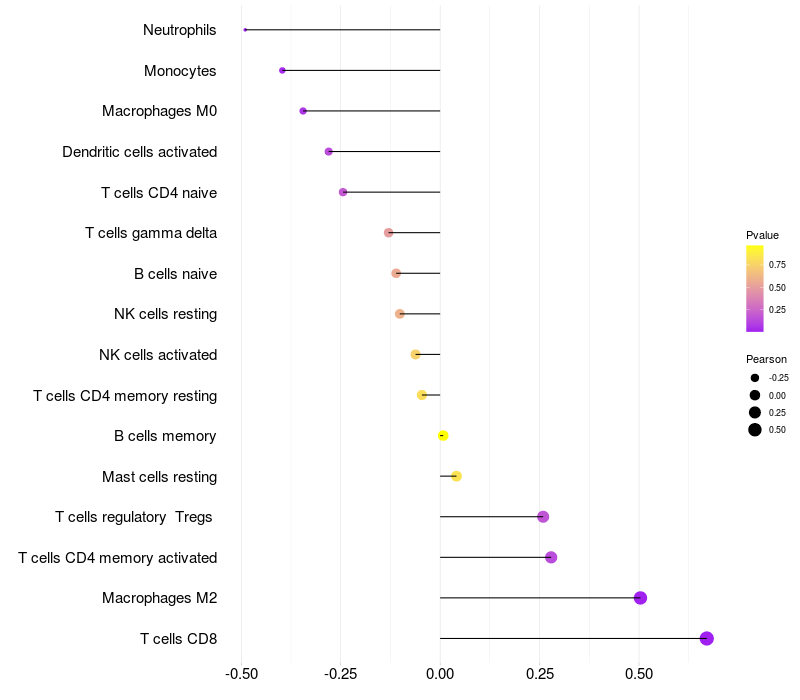
HeatMap of cell type fractions in all samples Lollipop of PFKP expression and immune infiltrating cell level correlation result in HTLV1+ samples
PFKP expression: Low -> High

> Dataset: GSE29312

HeatMap of cell type fractions in all samples Lollipop of PFKP expression and immune infiltrating cell level correlation result in HTLV1+ samples
PFKP expression: Low -> High

> Dataset: GSE29332

HeatMap of cell type fractions in all samples Lollipop of PFKP expression and immune infiltrating cell level correlation result in HTLV1+ samples
PFKP expression: Low -> High

Contents
Description

Gene Information Note

  • Integration Table: if previous studies reported that target gene was altered by virus integration events, the overlap between VISs in this literature and Cistrome factors was listed in the "Target gene [gene] related to VIS" section

Immune Analysis Plot Note

  • Left: Heatmap of target gene expression and the level of various types of immune cells (cell type fractions) in all samples based on CIBERSORT method.
  • Right: Correlation of target gene expression and the level of various types of immune cells in virus positive samples (Pearson Correlation Coefficient).