EBV Target gene Detail Information

> PGM1 Gene Search Result


Gene Information
Gene Name PGM1
Gene ID 5236
Gene Full Name phosphoglucomutase 1
Gene Alias CDG1T; GSD14
Transcripts ENSG00000079739
Virus EBV
Gene Type protein coding
HPA Location Info Cytosol;
HPA Protein Class Info Disease related genes, Enzymes, Plasma proteins, Potential drug targets, Predicted intracellular proteins
Uniport_ID P36871
HGNC ID HGNC:8905
VEGA ID OTTHUMG00000008968
OMIM ID 171900
String ID 9606.ENSP00000360124
Drugbank ID BE0004461
PharmGKB ID PA33242
Target gene [PGM1] related to VISs
DVID Chromosome HM TFBS CA Sum of Overlapped Records Detail
3000028 chr1 1244 90 51 1385 View

Relationship between gene expression and immune infiltrating cell level
Data ID Disease Sample number Sample type
GSE102203 (GEO) B-cell lymphoma 9 Plasmablastic lymphomas (EBV+)(6), Plasmablastic lymphomas (EBV-)(3)
GSE100458 (GEO) Burkitt lymphoma 14 Burkitt lyphoma cell line Akata(EBV+)(2),Burkitt lyphoma cell line Akata(EBV-)(2),Burkitt lyphoma cell line Awia(EBV+)(2),Burkitt lyphoma cell line Awia(EBV-)(2),Burkitt lyphoma cell line Eli(EBV+)(1),Burkitt lyphoma cell line Eli(EBV-)(1),Burkitt lyphoma cell line Mutu(EBV+)(2),Burkitt lyphoma cell line Mutu(EBV-)(2)
GSE42867 (GEO) Burkitt lymphoma 12 Burkitt lymphoma cell line Awia (EBV+)(12)
GSE135644 (GEO) Gastric carcinoma 10 Gastric adenocarcinoma cell line AGS (5), Gastric adenocarcinoma cell line AGS (EBV+)(5)
GSE45919 (GEO) Infectious mononucleosis 24 Infectious mononucleosis (IM)(EBV+)(3), Normal (9), Latent EBV (12)
GSE85599 (GEO) Infectious mononucleosis 17 Chronic active EBV infection (EBV+)(5), Acute infectious mononucleosis (EBV+)(6), Normal (6)
GSE58240 (GEO) Multiple sclerosis 32 Multiple sclerosis IFN-β treated (EBV+)(16), Multiple sclerosis untreated (EBV+)(16)
GSE12452 (GEO) Nasopharyngeal carcinoma 41 Nasopharyngeal carcinoma (EBV+)(31), Normal(10)

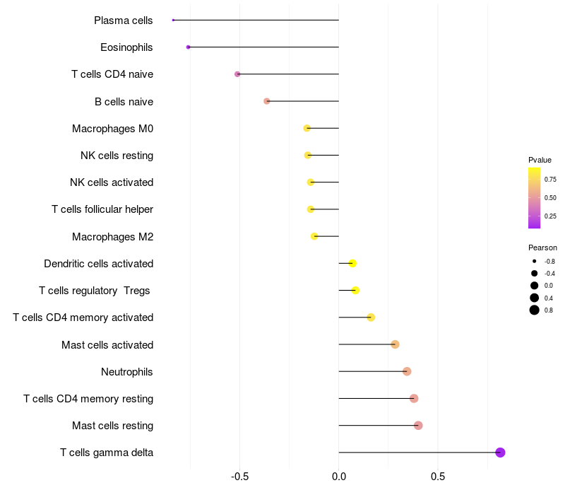
> Dataset: GSE102203

HeatMap of cell type fractions in all samples Lollipop of PGM1 expression and immune infiltrating cell level correlation result in EBV+ samples
PGM1 expression: Low -> High

> Dataset: GSE100458

HeatMap of cell type fractions in all samples Lollipop of PGM1 expression and immune infiltrating cell level correlation result in EBV+ samples
PGM1 expression: Low -> High

> Dataset: GSE42867

HeatMap of cell type fractions in all samples Lollipop of PGM1 expression and immune infiltrating cell level correlation result in EBV+ samples
PGM1 expression: Low -> High

> Dataset: GSE135644

HeatMap of cell type fractions in all samples Lollipop of PGM1 expression and immune infiltrating cell level correlation result in EBV+ samples
PGM1 expression: Low -> High

> Dataset: GSE45919

HeatMap of cell type fractions in all samples Lollipop of PGM1 expression and immune infiltrating cell level correlation result in EBV+ samples
PGM1 expression: Low -> High

> Dataset: GSE85599

HeatMap of cell type fractions in all samples Lollipop of PGM1 expression and immune infiltrating cell level correlation result in EBV+ samples
PGM1 expression: Low -> High

> Dataset: GSE58240

HeatMap of cell type fractions in all samples Lollipop of PGM1 expression and immune infiltrating cell level correlation result in EBV+ samples
PGM1 expression: Low -> High

> Dataset: GSE12452

HeatMap of cell type fractions in all samples Lollipop of PGM1 expression and immune infiltrating cell level correlation result in EBV+ samples
PGM1 expression: Low -> High

Contents
Description

Gene Information Note

  • Integration Table: if previous studies reported that target gene was altered by virus integration events, the overlap between VISs in this literature and Cistrome factors was listed in the "Target gene [gene] related to VIS" section

Immune Analysis Plot Note

  • Left: Heatmap of target gene expression and the level of various types of immune cells (cell type fractions) in all samples based on CIBERSORT method.
  • Right: Correlation of target gene expression and the level of various types of immune cells in virus positive samples (Pearson Correlation Coefficient).