HIV Target gene Detail Information

> PGS1 Gene Search Result


Gene Information
Gene Name PGS1
Gene ID 9489
Gene Full Name phosphatidylglycerophosphate synthase 1
Transcripts ENSG00000087157
Virus HIV
Gene Type protein coding
HPA Location Info
HPA Protein Class Info Enzymes, Predicted intracellular proteins
Uniport_ID Q32NB8
HGNC ID HGNC:30029
VEGA ID OTTHUMG00000177514
OMIM ID 614942
String ID 9606.ENSP00000262764
PharmGKB ID PA142671180
Target gene [PGS1] related to VISs
DVID Chromosome HM TFBS CA Sum of Overlapped Records Detail
4000947 chr17 194 38 9 241 View
4002214 chr19 102 3 105 View
4003003 chr17 41 18 13 72 View

Relationship between gene expression and immune infiltrating cell level
Data ID Disease Sample number Sample type
GSE17372 (GEO) AIDS-associated lymphoma 17 AIDS-Related Lymphomas (HIV+)(17)
GSE50834 (GEO) HIV-infected disease 44 HIV infected (23), HIV/TB co-infected (21)

> Dataset: GSE17372

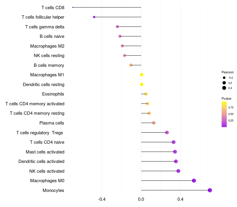
HeatMap of cell type fractions in all samples Lollipop of PGS1 expression and immune infiltrating cell level correlation result in HIV+ samples
PGS1 expression: Low -> High

> Dataset: GSE50834

HeatMap of cell type fractions in all samples Lollipop of PGS1 expression and immune infiltrating cell level correlation result in HIV+ samples
PGS1 expression: Low -> High

Contents
Description

Gene Information Note

  • Integration Table: if previous studies reported that target gene was altered by virus integration events, the overlap between VISs in this literature and Cistrome factors was listed in the "Target gene [gene] related to VIS" section

Immune Analysis Plot Note

  • Left: Heatmap of target gene expression and the level of various types of immune cells (cell type fractions) in all samples based on CIBERSORT method.
  • Right: Correlation of target gene expression and the level of various types of immune cells in virus positive samples (Pearson Correlation Coefficient).