HTLV1 Target gene Detail Information

> PIP5K1C Gene Search Result


Gene Information
Gene Name PIP5K1C
Gene ID 23396
Gene Full Name phosphatidylinositol-4-phosphate 5-kinase type 1 gamma
Gene Alias LCCS3; PIP5Kgamma; PIP5K-GAMMA; PIP5K1-gamma
Transcripts ENSG00000186111
Virus HTLV1
Gene Type protein coding
HPA Location Info Cytosol;Nucleoplasm;
HPA Protein Class Info Disease related genes, Enzymes, Potential drug targets, Predicted intracellular proteins
Uniport_ID O60331
HGNC ID HGNC:8996
VEGA ID OTTHUMG00000180870
OMIM ID 606102
String ID 9606.ENSP00000466363
PharmGKB ID PA33329
Target gene [PIP5K1C] related to VISs
DVID Chromosome HM TFBS CA Sum of Overlapped Records Detail
6001887 chr19 192 97 33 322 View
6004513 chr19 109 4 113 View

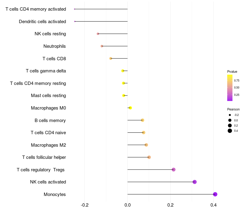
Relationship between gene expression and immune infiltrating cell level
Data ID Disease Sample number Sample type
GSE55851 (GEO) Adult T-cell leukemia 21 Normal (3), Asymptomatic carriers (HTLV1+)(6), Adult T-cell Leukemia-lymphoma (HTLV1+)(12)
GSE29312 (GEO) HTLV-1 associated myelopathy 39 Normal (9), Asymptomatic carriers (HTLV1+)(20), HTLV-1-associated myelopathy (HTLV1+)(10)
GSE29332 (GEO) HTLV-1 associated myelopathy 35 Normal (8), Asymptomatic carriers (HTLV1+)(17), HTLV-1-associated myelopathy (HTLV1+)(10)

> Dataset: GSE55851

HeatMap of cell type fractions in all samples Lollipop of PIP5K1C expression and immune infiltrating cell level correlation result in HTLV1+ samples
PIP5K1C expression: Low -> High

> Dataset: GSE29312

HeatMap of cell type fractions in all samples Lollipop of PIP5K1C expression and immune infiltrating cell level correlation result in HTLV1+ samples
PIP5K1C expression: Low -> High

> Dataset: GSE29332

HeatMap of cell type fractions in all samples Lollipop of PIP5K1C expression and immune infiltrating cell level correlation result in HTLV1+ samples
PIP5K1C expression: Low -> High

Contents
Description

Gene Information Note

  • Integration Table: if previous studies reported that target gene was altered by virus integration events, the overlap between VISs in this literature and Cistrome factors was listed in the "Target gene [gene] related to VIS" section

Immune Analysis Plot Note

  • Left: Heatmap of target gene expression and the level of various types of immune cells (cell type fractions) in all samples based on CIBERSORT method.
  • Right: Correlation of target gene expression and the level of various types of immune cells in virus positive samples (Pearson Correlation Coefficient).