|
Gene Information
|
Gene Name
|
PKN1 |
|
Gene ID
|
5585
|
|
Gene Full Name
|
protein kinase N1 |
|
Gene Alias
|
DBK; PKN; PAK1; PRK1; PAK-1; PRKCL1; PKN-ALPHA |
|
Transcripts
|
ENSG00000123143
|
|
Virus
|
HBV |
|
Gene Type
|
protein coding |
|
HPA Location Info
|
Plasma membrane;Cytokinetic bridge;Focal adhesion sites;
|
|
HPA Protein Class Info
|
Enzymes, Predicted intracellular proteins |
|
Uniport_ID
|
Q16512
|
|
HGNC ID
|
HGNC:9405
|
|
VEGA ID
|
OTTHUMG00000039611
|
|
OMIM ID
|
601032 |
|
String ID
|
9606.ENSP00000343325
|
|
Drugbank ID
|
BE0009474;
BE0009520
|
|
Drug (Cytoscape Annotation)
|
Sunitinib Malate |
|
PharmGKB ID
|
PA33769
|
Target gene [PKN1] related to VISs
| DVID |
Chromosome |
HM |
TFBS |
CA |
Sum of Overlapped Records |
Detail |
| 1015757 |
chr19 |
1 |
|
1 |
2 |
View |
Relationship between gene expression and immune infiltrating cell level
| Data ID |
Disease |
Sample number |
Sample type |
|
GSE114783 (GEO) |
Chronic HBV (CHB) infection |
36 |
Chronic hepatitis B patients (HBV+)(10),Hepatocellular carcinoma (HBV+)(10),Liver cirrhosis(HBV+)(10),Normal(3),HBV carriers (3) |
|
GSE114783 (GEO) |
Hepatocellular carcinoma |
36 |
Chronic hepatitis B patients (HBV+)(10),Hepatocellular carcinoma (HBV+)(10),Liver cirrhosis(HBV+)(10),Normal(3),HBV carriers (3) |
|
GSE114783 (GEO) |
Liver cirrhosis |
36 |
Chronic hepatitis B patients (HBV+)(10),Hepatocellular carcinoma (HBV+)(10),Liver cirrhosis(HBV+)(10),Normal(3),HBV carriers (3) |
|
LIHC (TCGA) |
Liver hepatocellular carcinoma |
424 |
Liver hepatocellular carcinoma HCV (HBV+)(86), Liver hepatocellular carcinoma HCV (HBV-)(19), Liver hepatocellular carcinoma (HBV+)(209), Liver hepatocellular carcinoma (HBV+)(60), Paracancerous HCV (HBV+)(4), Paracancerous (HBV-)(28), Paracancerous (HBV+)(18) |
> Dataset: GSE114783
|
|
HeatMap of cell type fractions in all samples
|
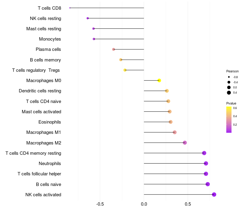
Lollipop of PKN1 expression and immune infiltrating cell level correlation result in HBV+ Chronic HBV (CHB) infection samples
|
PKN1 expression: Low -> High
|
|
|
Lollipop of PKN1 expression and immune infiltrating cell level correlation result in HBV+ Liver cirrhosis samples
|
Lollipop of PKN1 expression and immune infiltrating cell level correlation result in HBV+ Hepatocellular carcinoma samples
|
|
|
|
> Dataset: LIHC
|
|
HeatMap of cell type fractions in all samples
|
Lollipop of PKN1 expression and immune infiltrating cell level correlation result in HBV+ samples
|
PKN1 expression: Low -> High
|
|
|
|
|